Официальное опубликование правовых актов
ОФИЦИАЛЬНОЕ ОПУБЛИКОВАНИЕ
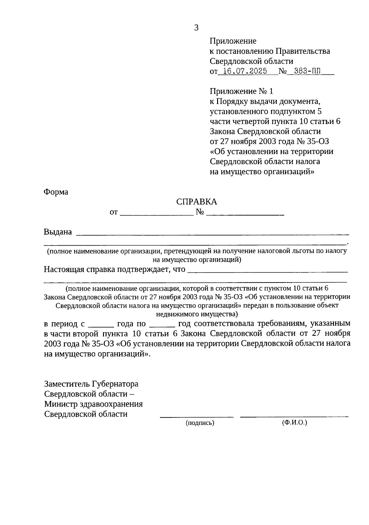
Постановление Правительства Свердловской области от 16.07.2025 № 383-ПП
"О внесении изменений в постановление Правительства Свердловской области от 07.03.2018 № 104-ПП "Об утверждении Порядка выдачи документа, установленного подпунктом 6 пункта 5 статьи 3-1 Закона Свердловской области от 27 ноября 2003 года № 35-ОЗ "Об установлении на территории Свердловской области налога на имущество организаций"
Номер опубликования: 6600202507180013
Дата опубликования: 18.07.2025
Страница №3 из 4:
Увеличить