Официальное опубликование правовых актов
ОФИЦИАЛЬНОЕ ОПУБЛИКОВАНИЕ
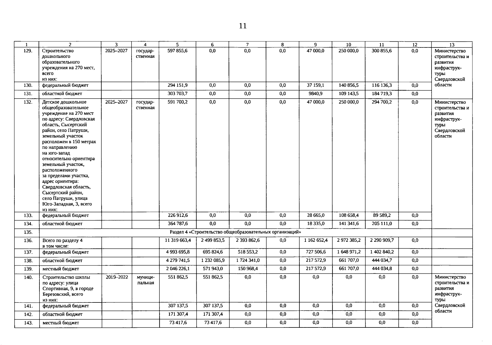
Постановление Правительства Свердловской области от 21.08.2025 № 477-ПП
"О внесении изменений в региональную программу "Реализация инфраструктурных проектов в Свердловской области с участием средств федерального бюджета", утвержденную постановлением Правительства Свердловской области от 10.11.2022 № 759-ПП"
Номер опубликования: 6600202508250002
Дата опубликования: 25.08.2025
Страница №11 из 37:
Увеличить