Официальное опубликование правовых актов
ОФИЦИАЛЬНОЕ ОПУБЛИКОВАНИЕ
Постановление Правительства Свердловской области от 20.11.2025 № 630-ПП
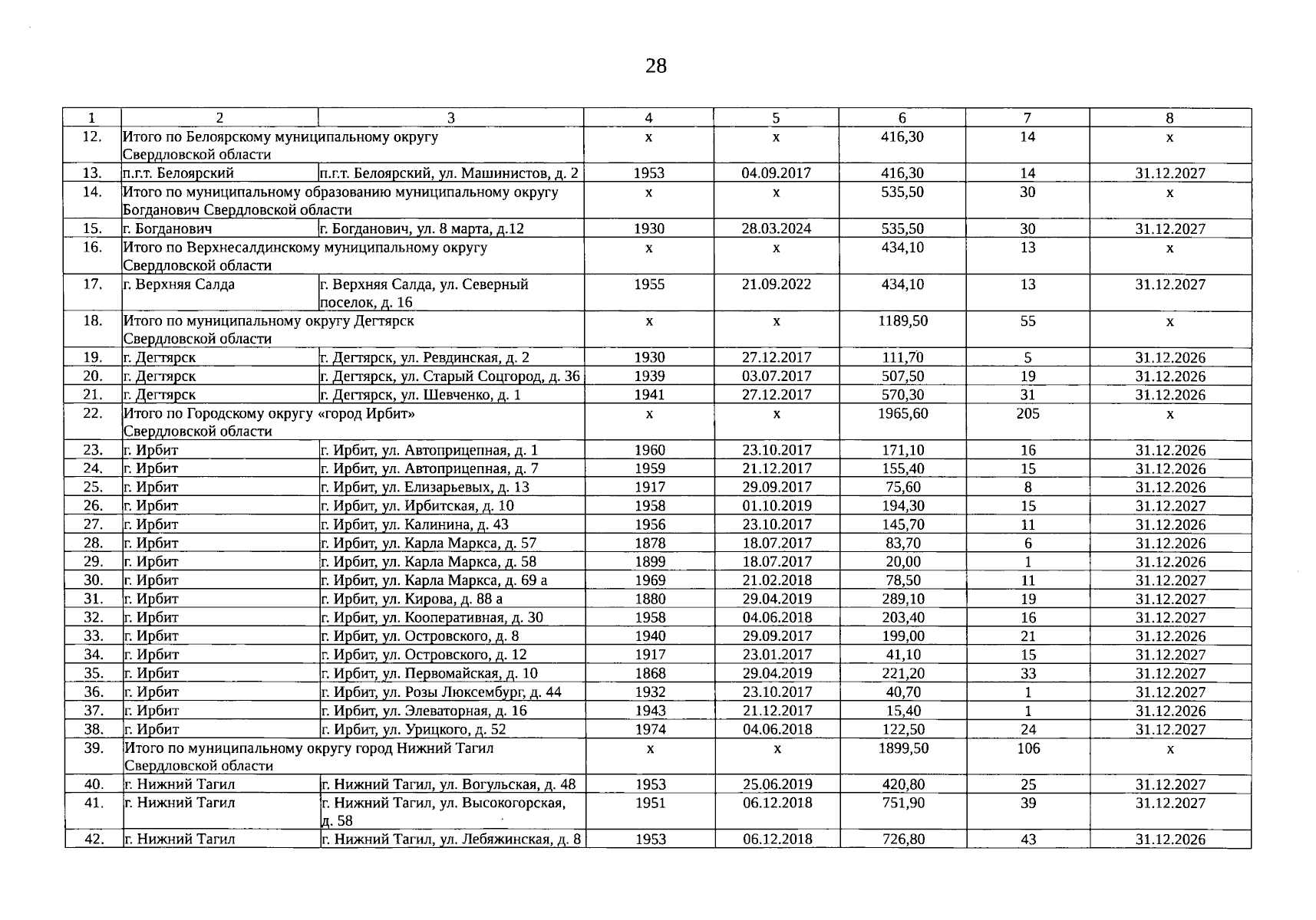
"О внесении изменений в постановление Правительства Свердловской области от 11.09.2025 № 504-ПП "Об утверждении региональной адресной программы "Переселение граждан на территории Свердловской области из аварийного жилищного фонда в 2025 и 2026 годах"
Номер опубликования: 6600202511210004
Дата опубликования: 21.11.2025
Страница №28 из 42:
Увеличить