Официальное опубликование правовых актов
ОФИЦИАЛЬНОЕ ОПУБЛИКОВАНИЕ
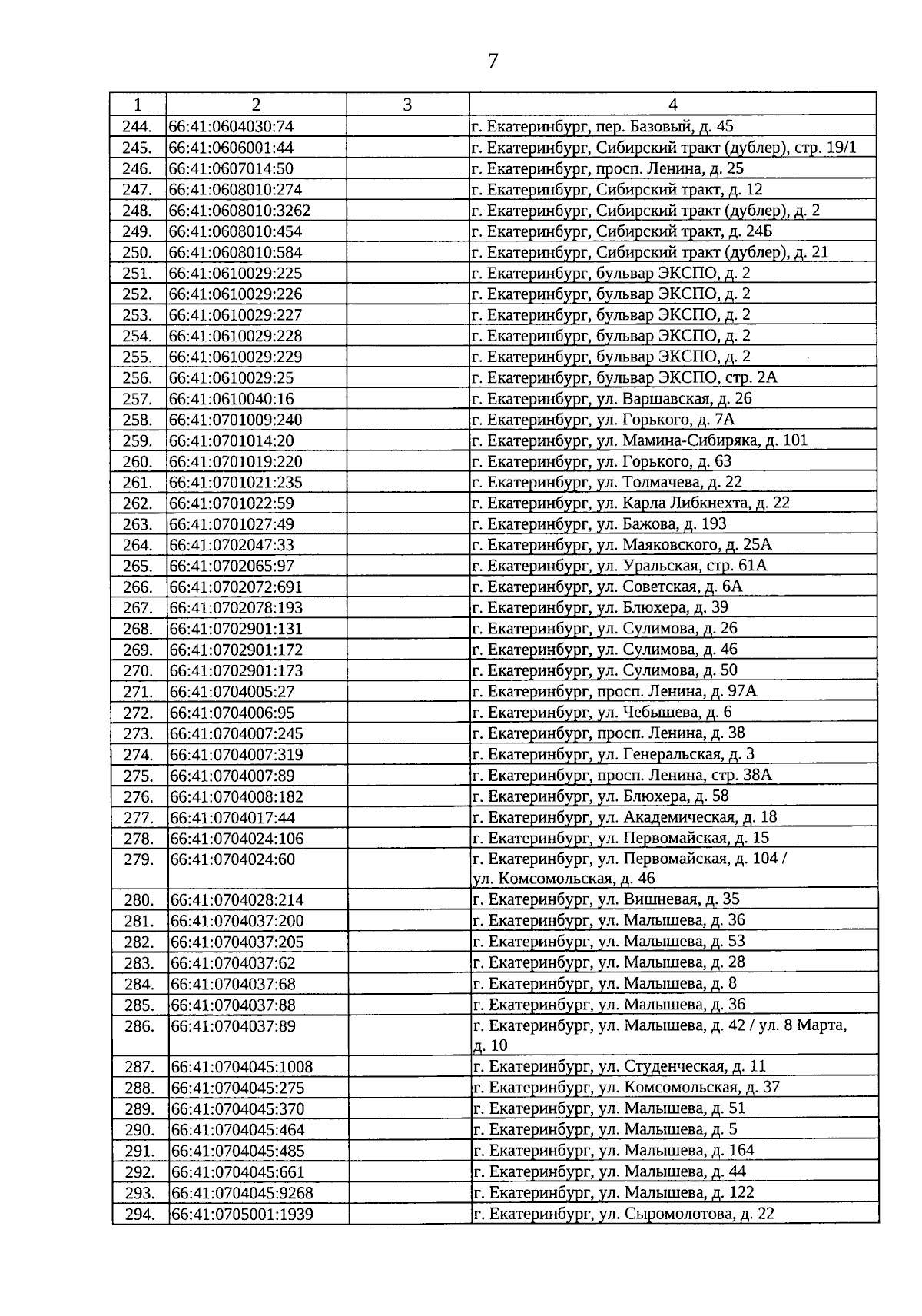
Постановление Правительства Свердловской области от 04.12.2025 № 668-ПП
"Об определении перечня объектов недвижимого имущества, в отношении которых налоговая база по налогу на имущество организаций определяется как кадастровая стоимость, на 2026 год"
Номер опубликования: 6600202512080002
Дата опубликования: 08.12.2025
Страница №7 из 9:
Увеличить