Официальное опубликование правовых актов
ОФИЦИАЛЬНОЕ ОПУБЛИКОВАНИЕ
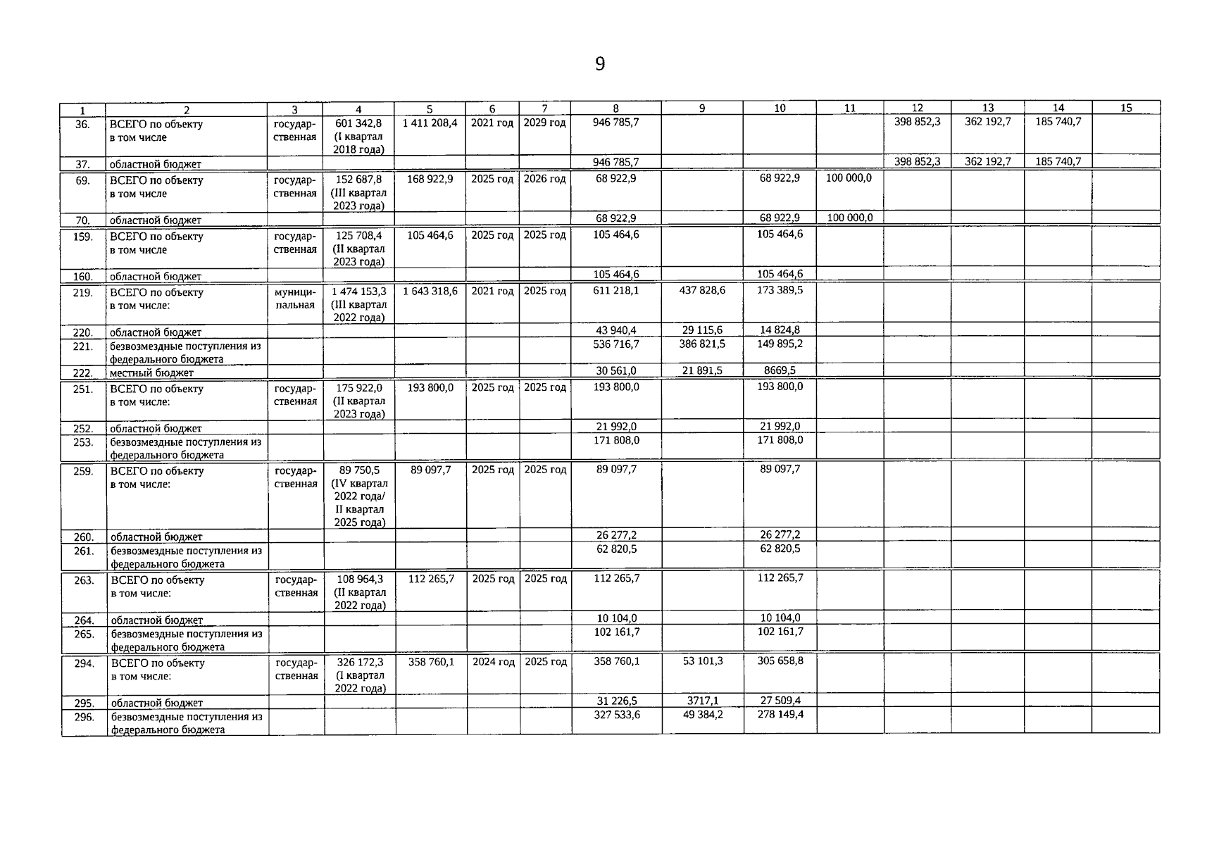
Постановление Правительства Свердловской области от 04.12.2025 № 673-ПП
"О внесении изменений в государственную программу Свердловской области "Развитие транспортного комплекса Свердловской области", утвержденную постановлением Правительства Свердловской области от 25.01.2018 № 28-ПП"
Номер опубликования: 6600202512080018
Дата опубликования: 08.12.2025
Страница №9 из 9:
Увеличить