Официальное опубликование правовых актов
ОФИЦИАЛЬНОЕ ОПУБЛИКОВАНИЕ
Приказ Министерства строительства и развития инфраструктуры Свердловской области от 05.02.2019 № 80-П
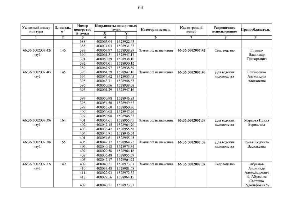
"Об утверждении основной части проекта планировки территории для размещения линейного объекта электросетевого хозяйства "Реконструкция ВЛ 110 кВ СУГРЭС-Пышма, отпайки на ПС Электромедь от ВЛ 110 кВ СУГРЭС-Школьная и отпайки на ПС Химреактивы (с переводом в двухцепное исполнение)" и проекта межевания территории для размещения линейного объекта электросетевого хозяйства "Реконструкция ВЛ 110 кВ СУГРЭС-Пышма, отпайки на ПС Электромедь от ВЛ 110 кВ СУГРЭС-Школьная и отпайки на ПС Химреактивы (с переводом в двухцепное исполнение)"
Номер опубликования: 6601201902080002
Дата опубликования: 08.02.2019
Страница №63 из 163:
Увеличить