Официальное опубликование правовых актов
ОФИЦИАЛЬНОЕ ОПУБЛИКОВАНИЕ
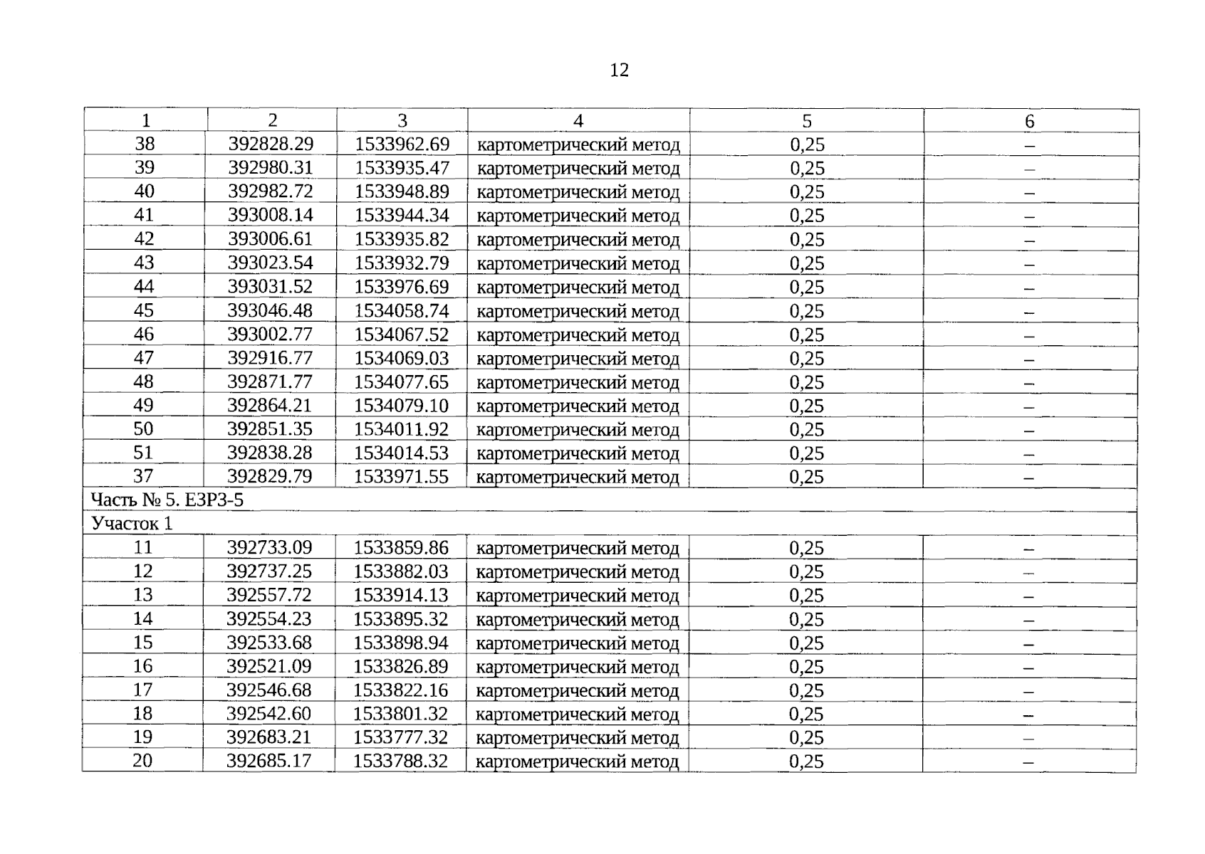
Приказ Управления государственной охраны объектов культурного наследия Свердловской области от 22.11.2023 № 706
"Об установлении объединенной зоны охраны объектов культурного наследия регионального значения "Здание административное", расположенного по адресу: Свердловская область, г. Екатеринбург, ул. Братьев Быковых, д. 11, "Дворец культуры железнодорожников
с северным блоком", расположенного по адресу: Свердловская область, г. Екатеринбург, ул. Челюскинцев, д. 102, и "Ансамбль градостроительный", расположенного по адресу (местоположение): Свердловская область, г. Екатеринбург, ул. Свердлова, и входящих в его состав объектов культурного наследия регионального значения и объекта культурного наследия местного (муниципального) значения "Транспортная контора О.П. Карповой", расположенного по адресу: Свердловская область, г. Екатеринбург, ул. Челюскинцев, д. 100,
и утверждении требований к градостроительным регламентам в границах данной зоны"
(Зарегистрирован 24.11.2023 № 909)
Номер опубликования: 6601202311290002
Дата опубликования: 29.11.2023
Страница №12 из 24:
Увеличить