Официальное опубликование правовых актов
ОФИЦИАЛЬНОЕ ОПУБЛИКОВАНИЕ
Приказ Министерства строительства и развития инфраструктуры Свердловской области от 28.03.2024 № 153-П
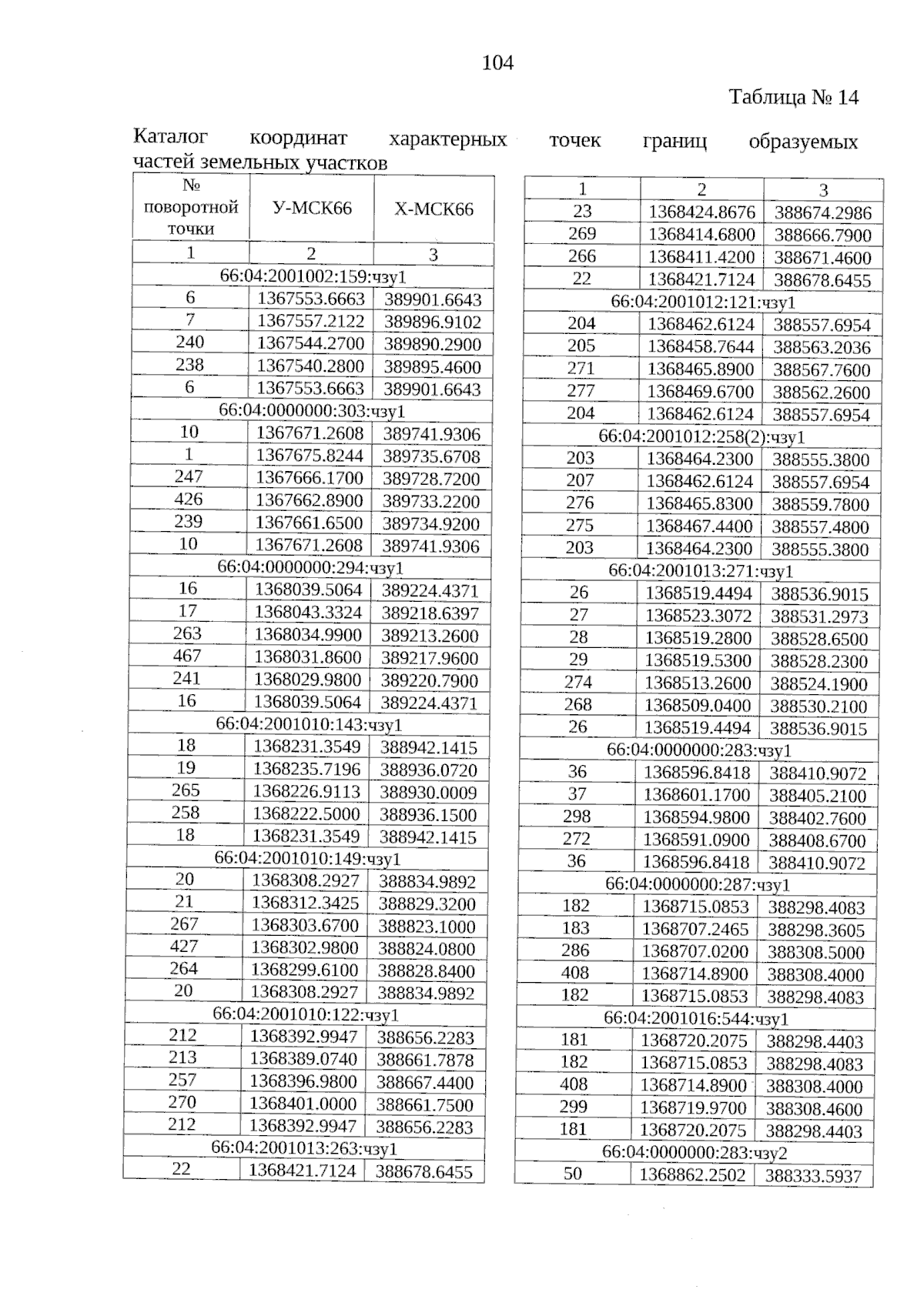
"Об утверждении основной части проекта планировки территории для размещения линейного объекта транспортной инфраструктуры регионального значения "Реконструкция автомобильной дороги с. Быково – р. п. Ачит (устройство наружного освещения на участке км 18+620 – км 21+900) на территории Ачитского городского округа" и основной части проекта межевания территории для размещения линейного объекта транспортной инфраструктуры регионального значения "Реконструкция автомобильной дороги с. Быково – р. п. Ачит (устройство наружного освещения на участке км 18+620 – км 21+900) на территории Ачитского городского округа"
(Зарегистрирован 02.04.2024 № 1497)
Номер опубликования: 6601202404020008
Дата опубликования: 02.04.2024
Страница №104 из 112:
Увеличить