Официальное опубликование правовых актов
ОФИЦИАЛЬНОЕ ОПУБЛИКОВАНИЕ
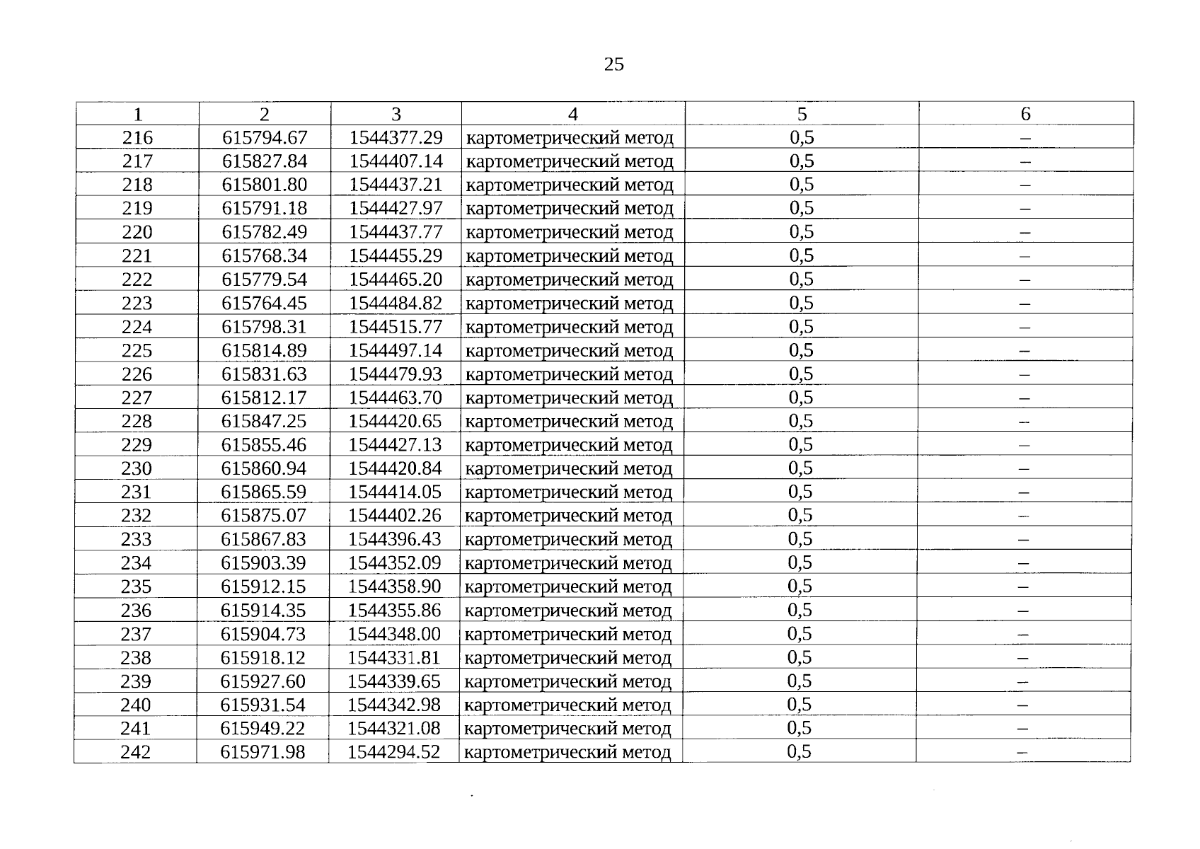
Приказ Управления государственной охраны объектов культурного наследия Свердловской области от 29.07.2024 № 474
"Об установлении объединенной зоны охраны объектов культурного наследия федерального и регионального значения, расположенных по адресу (местоположение): Свердловская область, г. Верхотурье, и утверждении требований к градостроительным регламентам в границах данной зоны"
(Зарегистрирован 29.07.2024 № 1885)
Номер опубликования: 6601202407300002
Дата опубликования: 30.07.2024
Страница №25 из 128:
Увеличить