Официальное опубликование правовых актов
ОФИЦИАЛЬНОЕ ОПУБЛИКОВАНИЕ
Приказ Управления государственной охраны объектов культурного наследия Свердловской области от 26.07.2024 № 471
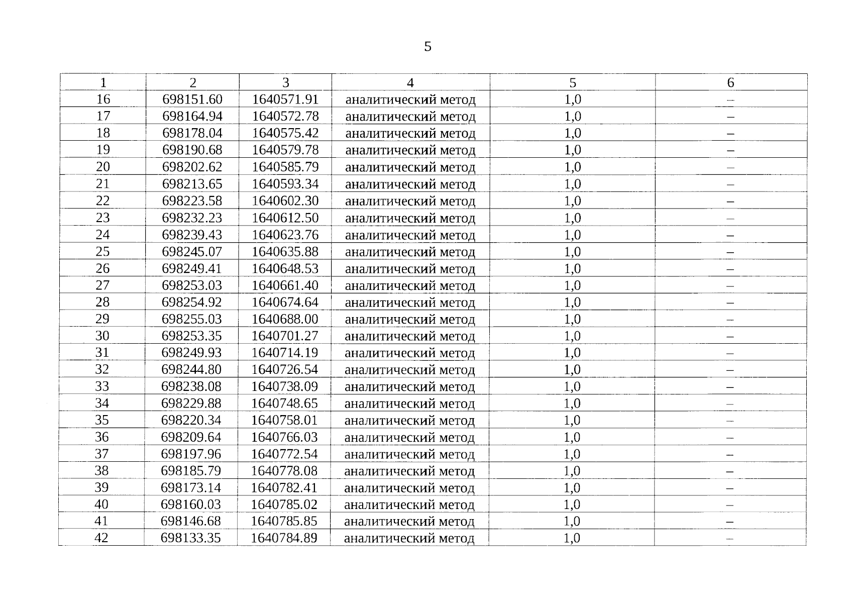
"Об утверждении графического описания местоположения границ защитной зоны объекта культурного наследия регионального значения "Клетская изба В.И. Серовой", расположенного по адресу: Свердловская область, Гаринский район, д. Линты, д. 1а, с перечнем координат характерных точек этих границ в системе координат, установленной для ведения Единого государственного реестра недвижимости, и режима использования земель в границах данной защитной зоны"
(Зарегистрирован 29.07.2024 № 1879)
Номер опубликования: 6601202407300008
Дата опубликования: 30.07.2024
Страница №5 из 8:
Увеличить