Официальное опубликование правовых актов
ОФИЦИАЛЬНОЕ ОПУБЛИКОВАНИЕ
Приказ Управления записи актов гражданского состояния Свердловской области от 14.08.2024 № 154
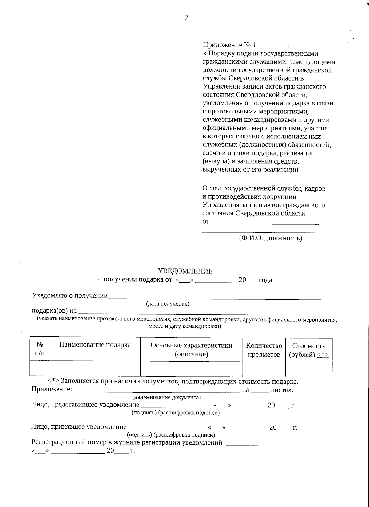
"Об утверждении Порядка подачи государственными гражданскими служащими Свердловской области, замещающими должности государственной гражданской службы Свердловской области в Управлении записи актов гражданского состояния Свердловской области, уведомления о получении подарка в связи с протокольными мероприятиями, служебными командировками и другими официальными мероприятиями, участие в которых связано с исполнением ими служебных (должностных) обязанностей, сдачи и оценки подарка, реализации (выкупа) и зачисления средств, вырученных от его реализации"
(Зарегистрирован 16.08.2024 № 1960)
Номер опубликования: 6601202408190005
Дата опубликования: 19.08.2024
Страница №7 из 11:
Увеличить