Официальное опубликование правовых актов
ОФИЦИАЛЬНОЕ ОПУБЛИКОВАНИЕ
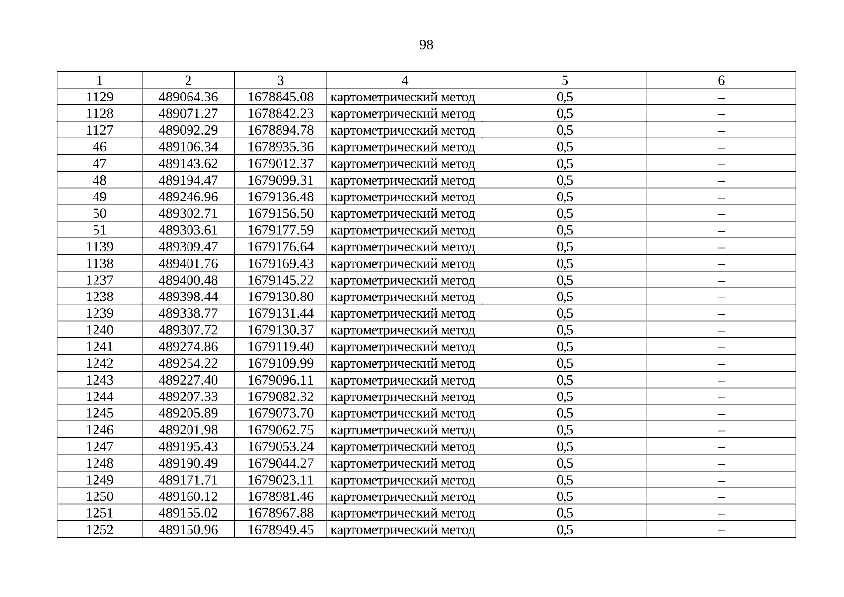
Приказ Управления государственной охраны объектов культурного наследия Свердловской области от 19.09.2024 № 592
"Об установлении объединенной зоны охраны объектов культурного наследия регионального значения, расположенных по адресу (местоположение): Свердловская область, г. Ирбит, и утверждении требований к градостроительным регламентам в границах данной зоны"
(Зарегистрирован 24.09.2024 № 2092)
Номер опубликования: 6601202409250012
Дата опубликования: 25.09.2024
Страница №98 из 111:
Увеличить