Официальное опубликование правовых актов
ОФИЦИАЛЬНОЕ ОПУБЛИКОВАНИЕ
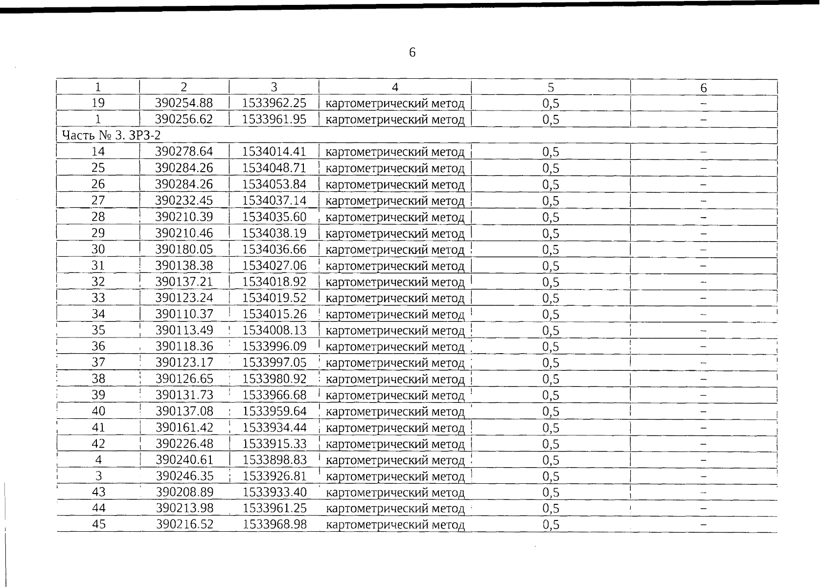
Приказ Управления государственной охраны объектов культурного наследия Свердловской области от 28.10.2024 № 682
"Об установлении зон охраны объекта культурного наследия регионального значения "Здание земской школы", расположенного по адресу: Свердловская область, г. Екатеринбург, ул. Добролюбова, д. 19а, и утверждении требований к градостроительным регламентам в границах данных зон"
(Зарегистрирован 29.10.2024 № 2229)
Номер опубликования: 6601202410290006
Дата опубликования: 29.10.2024
Страница №6 из 15:
Увеличить