Официальное опубликование правовых актов
ОФИЦИАЛЬНОЕ ОПУБЛИКОВАНИЕ
Приказ Управления государственной охраны объектов культурного наследия Свердловской области от 18.11.2024 № 723
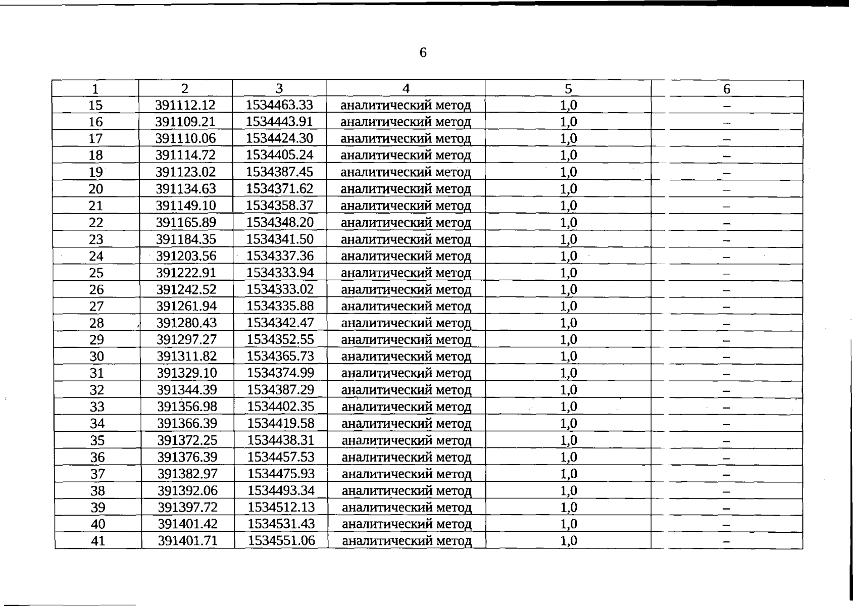
"Об утверждении графического описания местоположения границ защитной зоны объекта культурного наследия федерального значения "Здание типографии издательства "Уральский рабочий", расположенного по адресу: Свердловская область, г. Екатеринбург, пр. Ленина, д. 49, с перечнем координат характерных точек этих границ в системе координат, установленной для ведения Единого государственного реестра недвижимости, и режима использования земель в границах данной защитной зоны"
(Зарегистрирован 19.11.2024 № 2308)
Номер опубликования: 6601202411210005
Дата опубликования: 21.11.2024
Страница №6 из 9:
Увеличить