Официальное опубликование правовых актов
ОФИЦИАЛЬНОЕ ОПУБЛИКОВАНИЕ
Приказ Министерства строительства и развития инфраструктуры Свердловской области от 26.11.2024 № 584-П
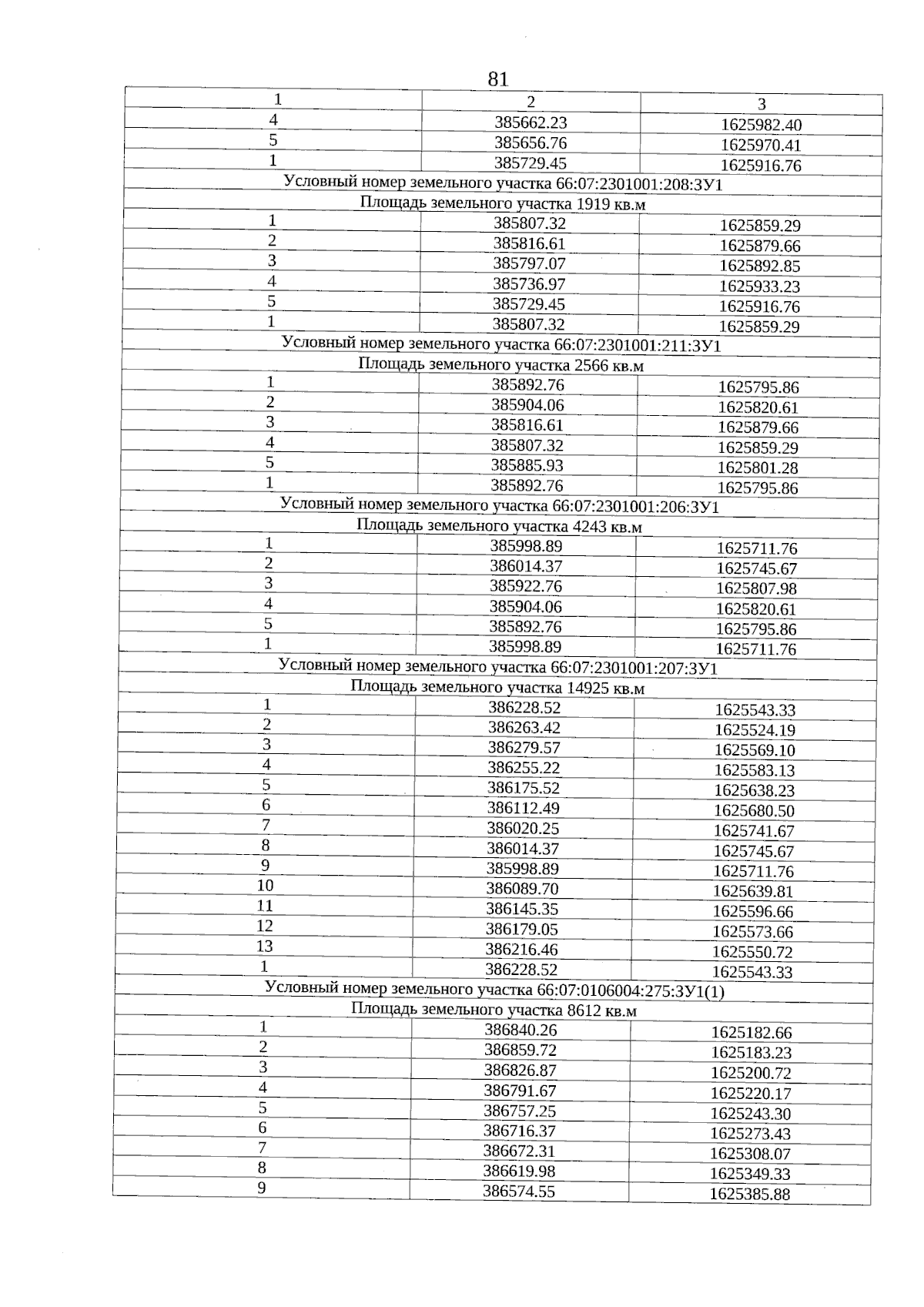
"Об утверждении основной части проекта планировки территории для размещения линейного объекта транспортной инфраструктуры регионального значения "Реконструкция автомобильной дороги "Подъезд к с. Коменки от км 100+800 а/д "г. Екатеринбург – г. Тюмень" на территории городского округа Богданович" и основной части проекта межевания территории для размещения линейного объекта транспортной инфраструктуры регионального значения "Реконструкция автомобильной дороги "Подъезд к с. Коменки от км 100+800 а/д "г. Екатеринбург – г. Тюмень" на территории городского округа Богданович"
(Зарегистрирован 03.12.2024 № 2359)
Номер опубликования: 6601202412040002
Дата опубликования: 04.12.2024
Страница №81 из 110:
Увеличить