Официальное опубликование правовых актов
ОФИЦИАЛЬНОЕ ОПУБЛИКОВАНИЕ
Приказ Министерства строительства и развития инфраструктуры Свердловской области от 06.12.2024 № 625-П
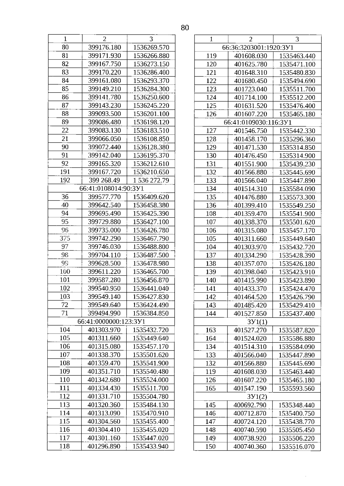
"Об утверждении основной части проекта планировки территории для размещения линейного объекта транспортной инфраструктуры регионального значения "Реконструкция автомобильной дороги "Обход г. В. Пышма" с подъездом к г. Екатеринбургу на территории муниципального образования "город Екатеринбург" и основной части проекта межевания территории для размещения линейного объекта транспортной инфраструктуры регионального значения "Реконструкция автомобильной дороги "Обход г. В. Пышма" с подъездом к г. Екатеринбургу на территории муниципального образования "город Екатеринбург"
(Зарегистрирован 10.12.2024 № 2396)
Номер опубликования: 6601202412110002
Дата опубликования: 11.12.2024
Страница №80 из 110:
Увеличить