Официальное опубликование правовых актов
ОФИЦИАЛЬНОЕ ОПУБЛИКОВАНИЕ
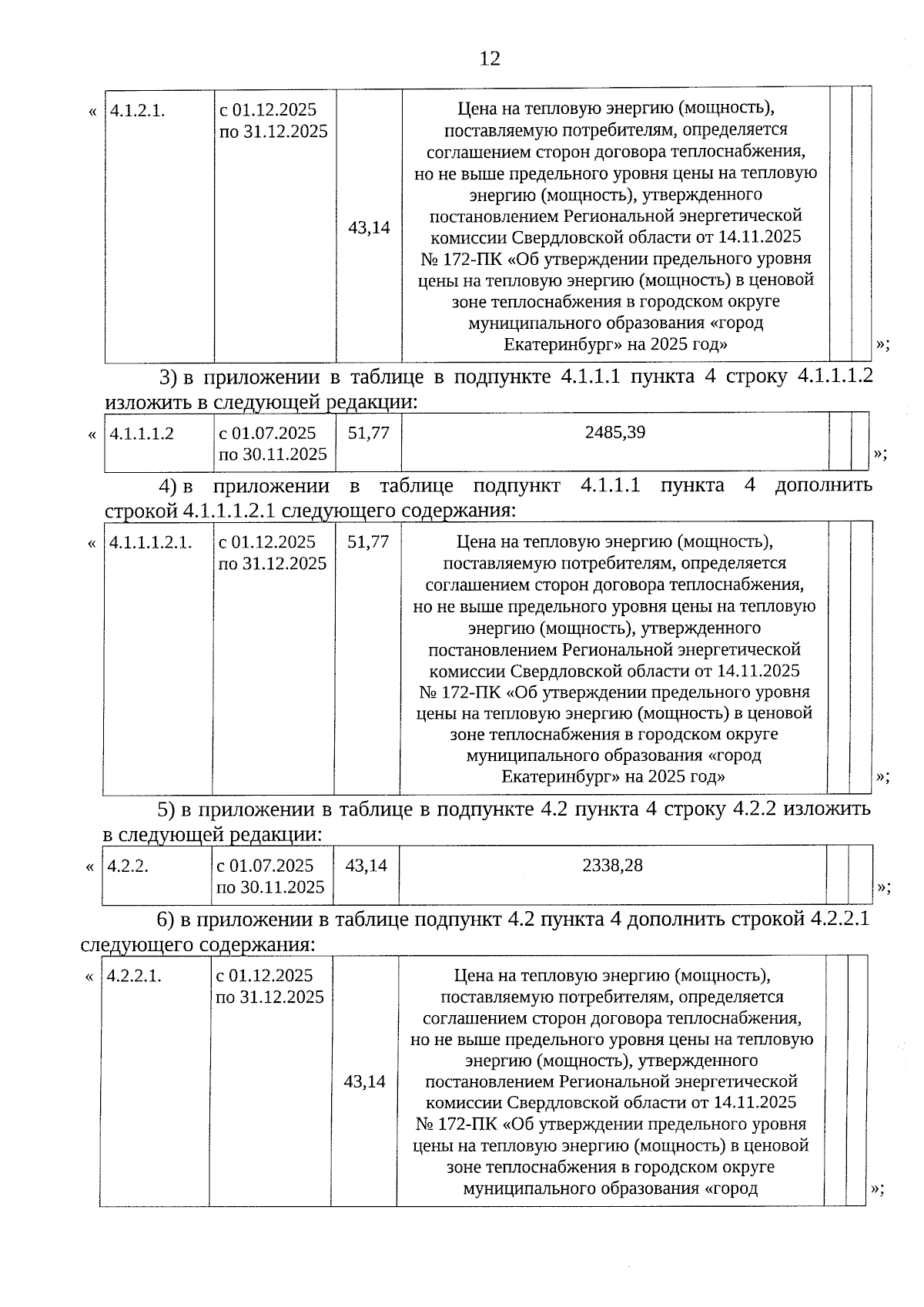
Постановление Региональной энергетической комиссии Свердловской области от 26.11.2025 № 195-ПК
"О внесении изменений в отдельные постановления Региональной энергетической комиссии Свердловской области"
(Зарегистрирован 02.12.2025 № 3491)
Номер опубликования: 6601202512030012
Дата опубликования: 03.12.2025
Страница №12 из 15:
Увеличить