Официальное опубликование правовых актов
ОФИЦИАЛЬНОЕ ОПУБЛИКОВАНИЕ
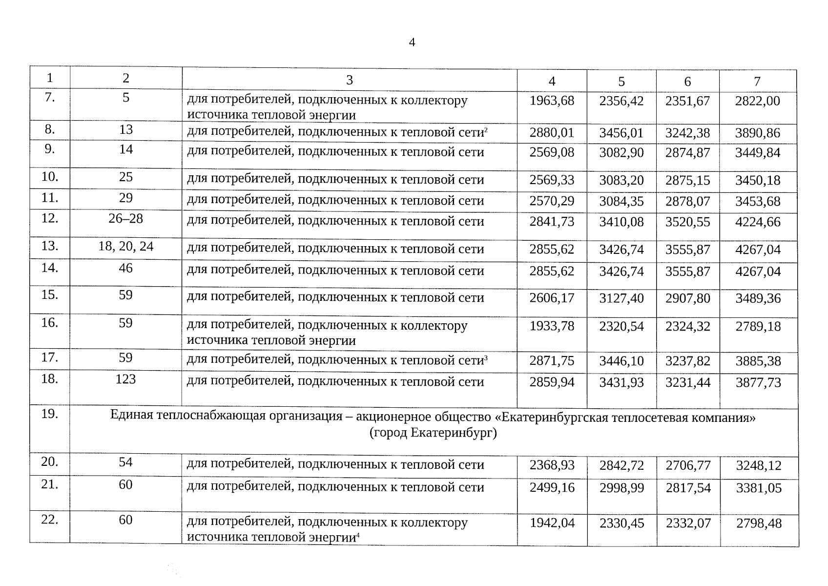
Постановление Региональной энергетической комиссии Свердловской области от 14.11.2025 № 173-ПК
"Об утверждении предельного уровня цены на тепловую энергию (мощность) в ценовой зоне теплоснабжения в городском округе муниципальном образовании "город Екатеринбург" на 2026 год"
(Зарегистрирован 10.12.2025 № 3552)
Номер опубликования: 6601202512100013
Дата опубликования: 10.12.2025
Страница №4 из 5:
Увеличить