Официальное опубликование правовых актов
ОФИЦИАЛЬНОЕ ОПУБЛИКОВАНИЕ
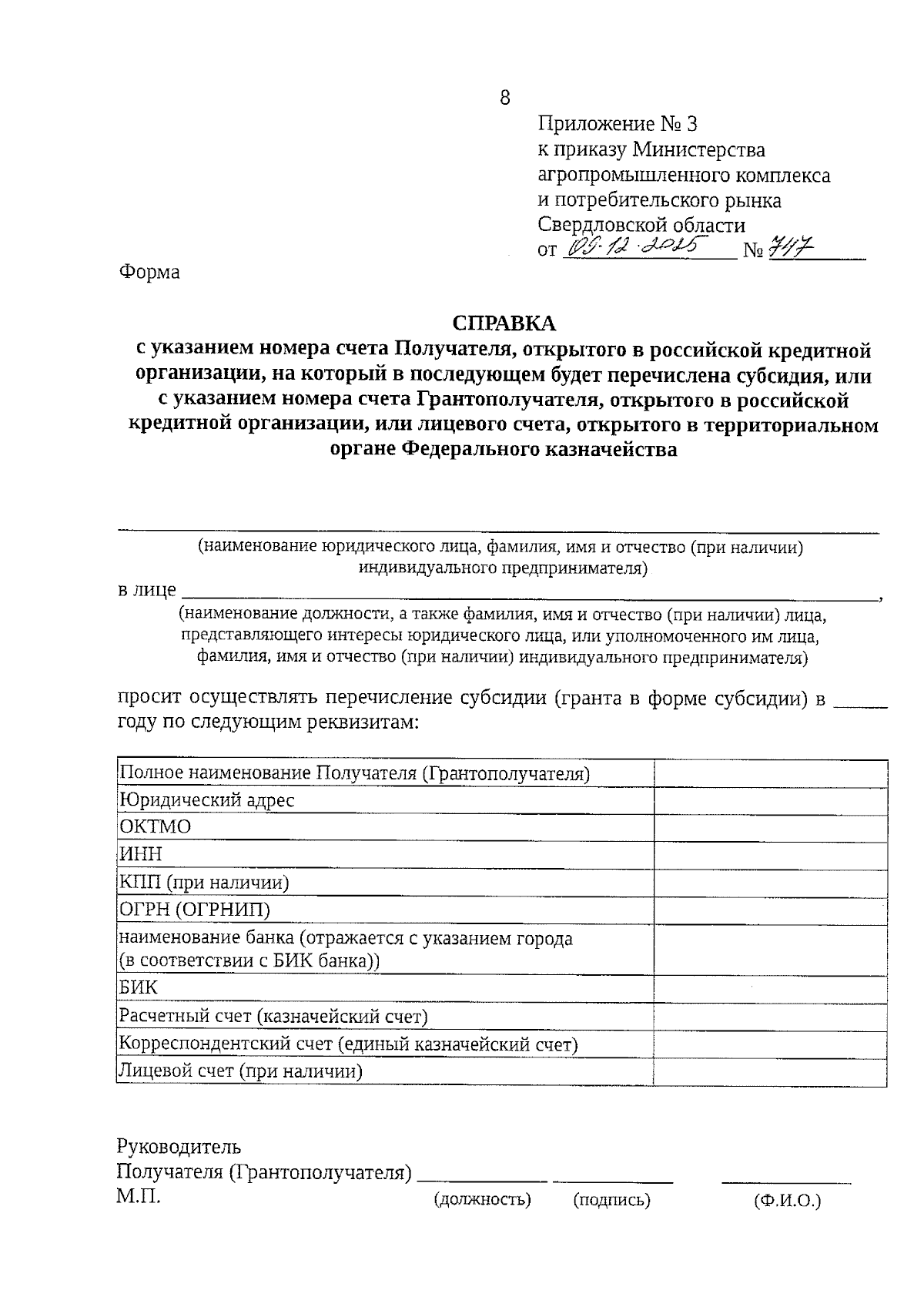
Приказ Министерства агропромышленного комплекса и потребительского рынка Свердловской области от 09.12.2025 № 747
"О реализации Порядка предоставления субсидии на возмещение части затрат, возникающих при реализации мероприятий по развитию геномной селекции в области племенного животноводства, утвержденного постановлением Правительства Свердловской области от 26.11.2025 № 646-ПП"
(Зарегистрирован 11.12.2025 № 3568)
Номер опубликования: 6601202512150002
Дата опубликования: 15.12.2025
Страница №8 из 15:
Увеличить