Официальное опубликование правовых актов
ОФИЦИАЛЬНОЕ ОПУБЛИКОВАНИЕ
Приказ Управления государственной охраны объектов культурного наследия Свердловской области от 17.12.2025 № 712
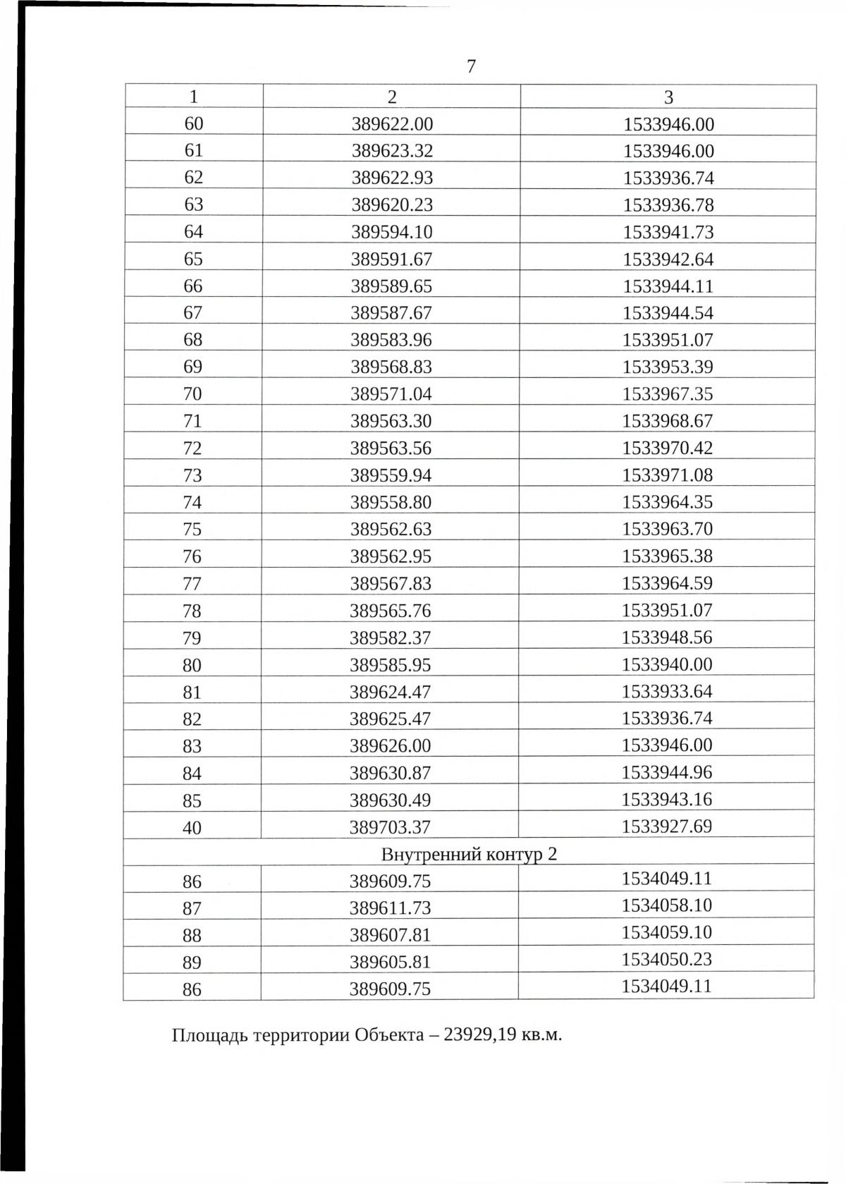
"О внесении изменений в приказ Управления государственной охраны объектов культурного наследия Свердловской области от 18.07.2024 № 453 "Об утверждении границ территории выявленного объекта археологического наследия "Культурный слой г. Екатеринбурга XVIII – нач. ХХ вв. на территории Екатеринбургского государственного цирка", расположенного по адресу (местонахождение): Свердловская область, г. Екатеринбург, установлении режима использования данной территории и внесении изменений в приказ Управления государственной охраны объектов культурного наследия Свердловской области от 17.06.2022 № 368 "О включении выявленного объекта археологического наследия "Культурный слой г. Екатеринбурга XVIII – нач. ХХ вв. на территории Екатеринбургского государственного цирка" в перечень выявленных объектов культурного наследия Свердловской области, утверждении границ территории выявленного объекта археологического наследия "Культурный слой г. Екатеринбурга XVIII – нач. ХХ вв. на территории Екатеринбургского государственного цирка", расположенного по адресу (местонахождение): Свердловская область, г. Екатеринбург, и установлении режима использования данной территории"
(Зарегистрирован 18.12.2025 № 3646)
Номер опубликования: 6601202512180051
Дата опубликования: 18.12.2025
Страница №7 из 7:
Увеличить