Официальное опубликование правовых актов
ОФИЦИАЛЬНОЕ ОПУБЛИКОВАНИЕ
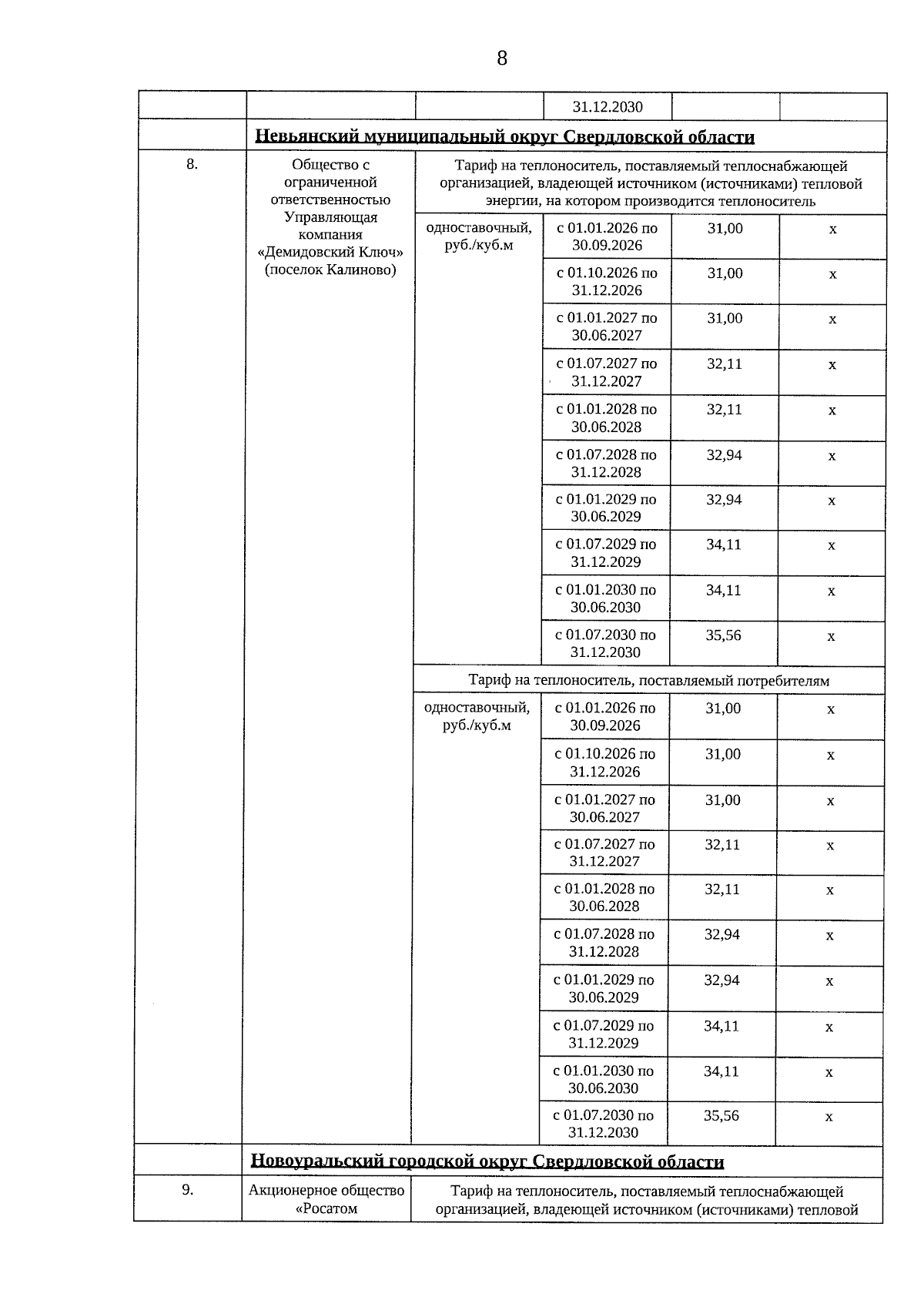
Постановление Региональной энергетической комиссии Свердловской области от 15.12.2025 № 293-ПК
"Об установлении тарифов на теплоноситель, поставляемый теплоснабжающими организациями Свердловской области, с использованием метода индексации установленных тарифов на основе долгосрочных параметров регулирования"
(Зарегистрирован 22.12.2025 № 3716)
Номер опубликования: 6601202512250023
Дата опубликования: 25.12.2025
Страница №8 из 11:
Увеличить