Официальное опубликование правовых актов
ОФИЦИАЛЬНОЕ ОПУБЛИКОВАНИЕ
Приказ Министерства строительства и развития инфраструктуры Свердловской области от 19.12.2025 № 621-П
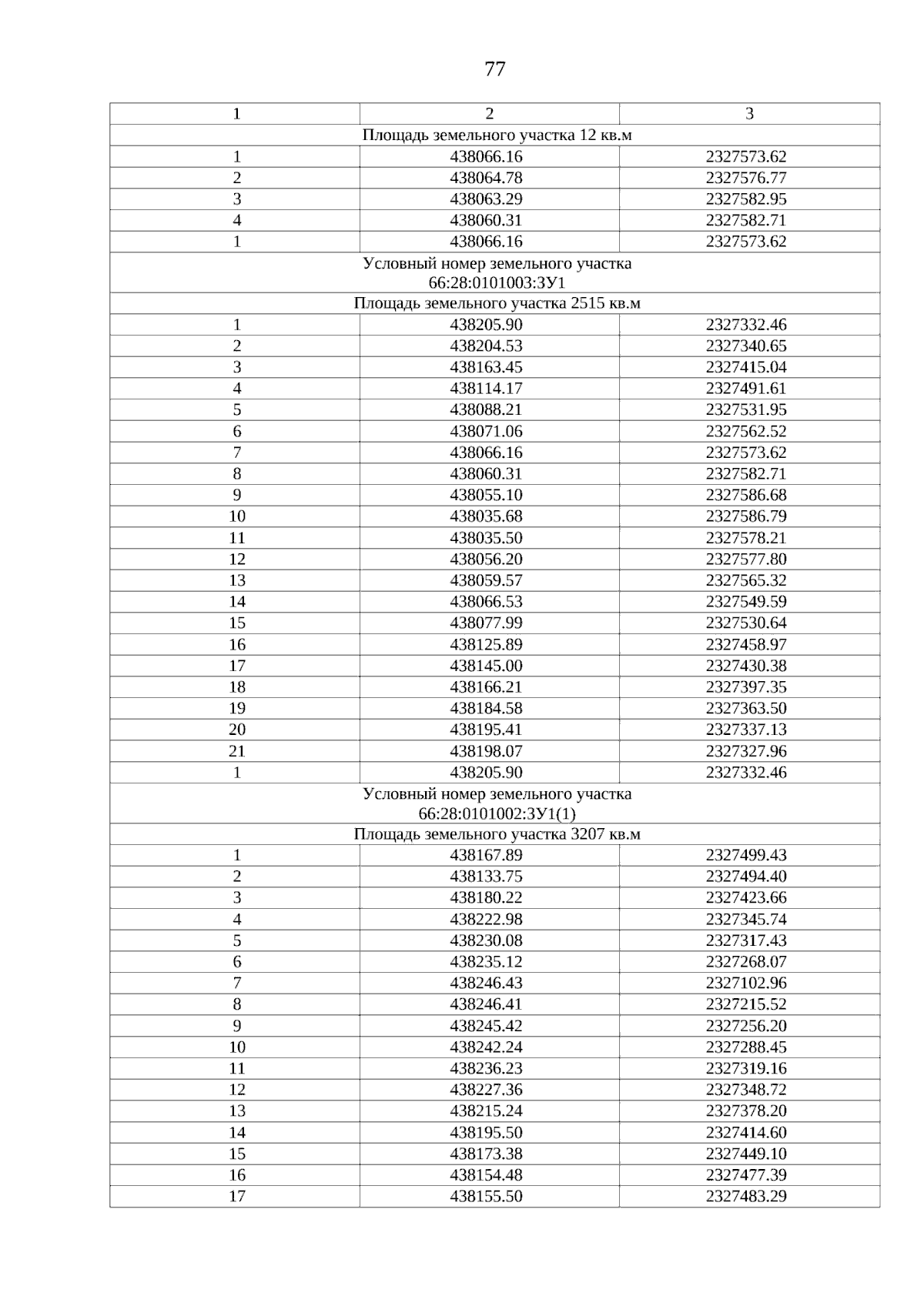
"Об утверждении основной части проекта планировки территории для размещения линейного объекта транспортной инфраструктуры регионального значения "Реконструкция автомобильной дороги д. Кокуй – д. Серкова на территории Талицкого городского округа" и основной части проекта межевания территории для размещения линейного объекта транспортной инфраструктуры регионального значения "Реконструкция автомобильной дороги д. Кокуй – д. Серкова на территории Талицкого городского округа"
(Зарегистрирован 25.12.2025 № 3801)
Номер опубликования: 6601202512270006
Дата опубликования: 27.12.2025
Страница №77 из 109:
Увеличить