Официальное опубликование правовых актов
ОФИЦИАЛЬНОЕ ОПУБЛИКОВАНИЕ
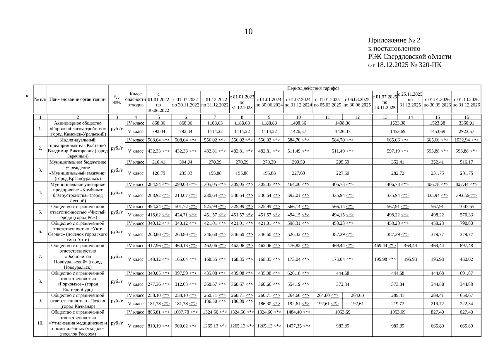
Постановление Региональной энергетической комиссии Свердловской области от 18.12.2025 № 320-ПК
"О внесении изменений в отдельные постановления Региональной энергетической комиссии Свердловской области"
(Зарегистрирован 29.12.2025 № 3888)
Номер опубликования: 6601202512290014
Дата опубликования: 29.12.2025
Страница №10 из 73:
Увеличить