Постановление Региональной энергетической комиссии Свердловской области от 18.12.2025 № 305-ПК
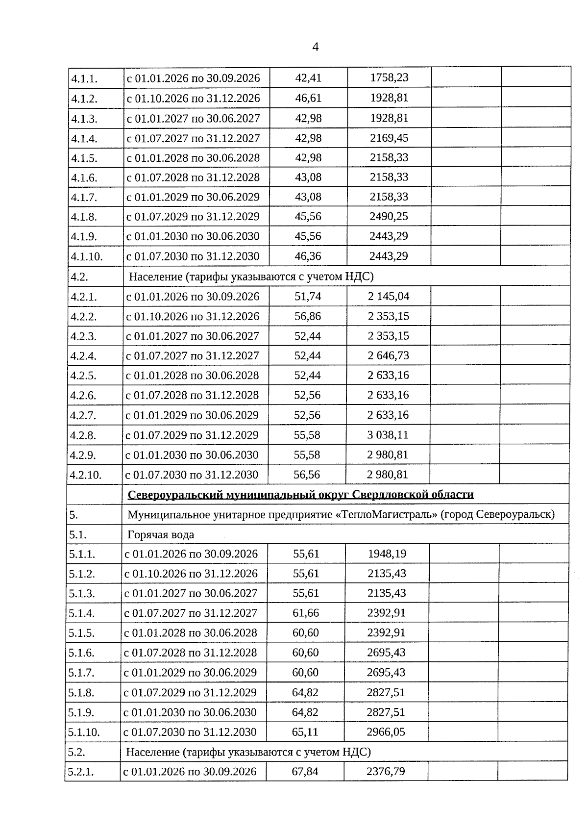
"Об установлении тарифов на горячую воду в открытых системах теплоснабжения (горячего водоснабжения), поставляемую теплоснабжающими организациями Свердловской области, с использованием метода индексации установленных тарифов на основе долгосрочных параметров регулирования"
(Зарегистрирован 23.12.2025 № 3795)
"Об установлении тарифов на горячую воду в открытых системах теплоснабжения (горячего водоснабжения), поставляемую теплоснабжающими организациями Свердловской области, с использованием метода индексации установленных тарифов на основе долгосрочных параметров регулирования"
(Зарегистрирован 23.12.2025 № 3795)
Номер опубликования: 6601202512290024
Дата опубликования:
29.12.2025
