Официальное опубликование правовых актов
ОФИЦИАЛЬНОЕ ОПУБЛИКОВАНИЕ
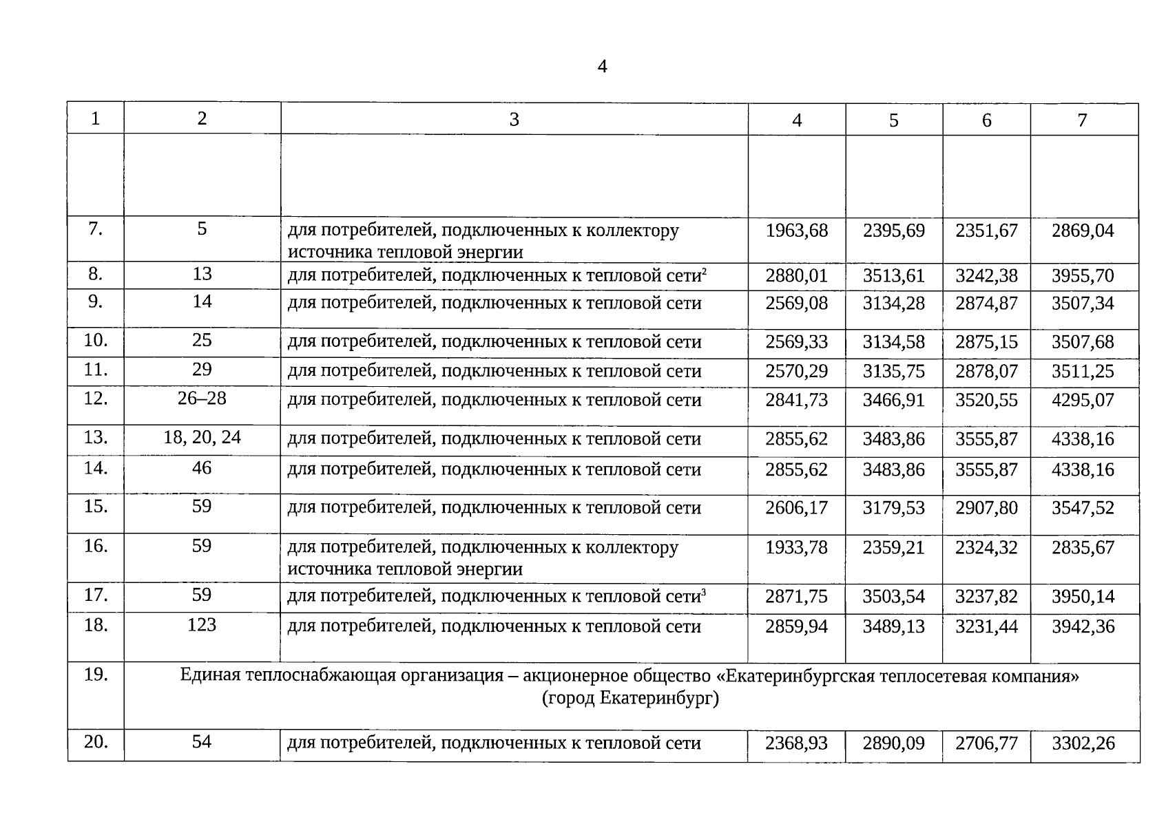
Постановление Региональной энергетической комиссии Свердловской области от 29.12.2025 № 334-ПК
"Об утверждении предельного уровня цены на тепловую энергию (мощность) в ценовой зоне теплоснабжения в городском округе муниципальном образовании "город Екатеринбург" на 2026 год"
(Зарегистрирован 12.01.2026 № 3909)
Номер опубликования: 6601202601150004
Дата опубликования: 15.01.2026
Страница №4 из 5:
Увеличить