Официальное опубликование правовых актов
ОФИЦИАЛЬНОЕ ОПУБЛИКОВАНИЕ
Приказ Министерства природных ресурсов и экологии Свердловской области от 30.12.2025 № 1859
"Об утверждении лесохозяйственного регламента Нижне-Тагильского лесничества Свердловской области"
(Зарегистрирован 14.01.2026 № 3944)
Номер опубликования: 6601202601190001
Дата опубликования: 19.01.2026
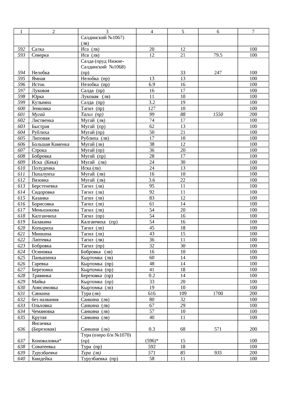
Страница №343 из 353:
Увеличить