Официальное опубликование правовых актов
ОФИЦИАЛЬНОЕ ОПУБЛИКОВАНИЕ
Постановление Региональной энергетической комиссии Свердловской области от 08.11.2023 № 117-ПК
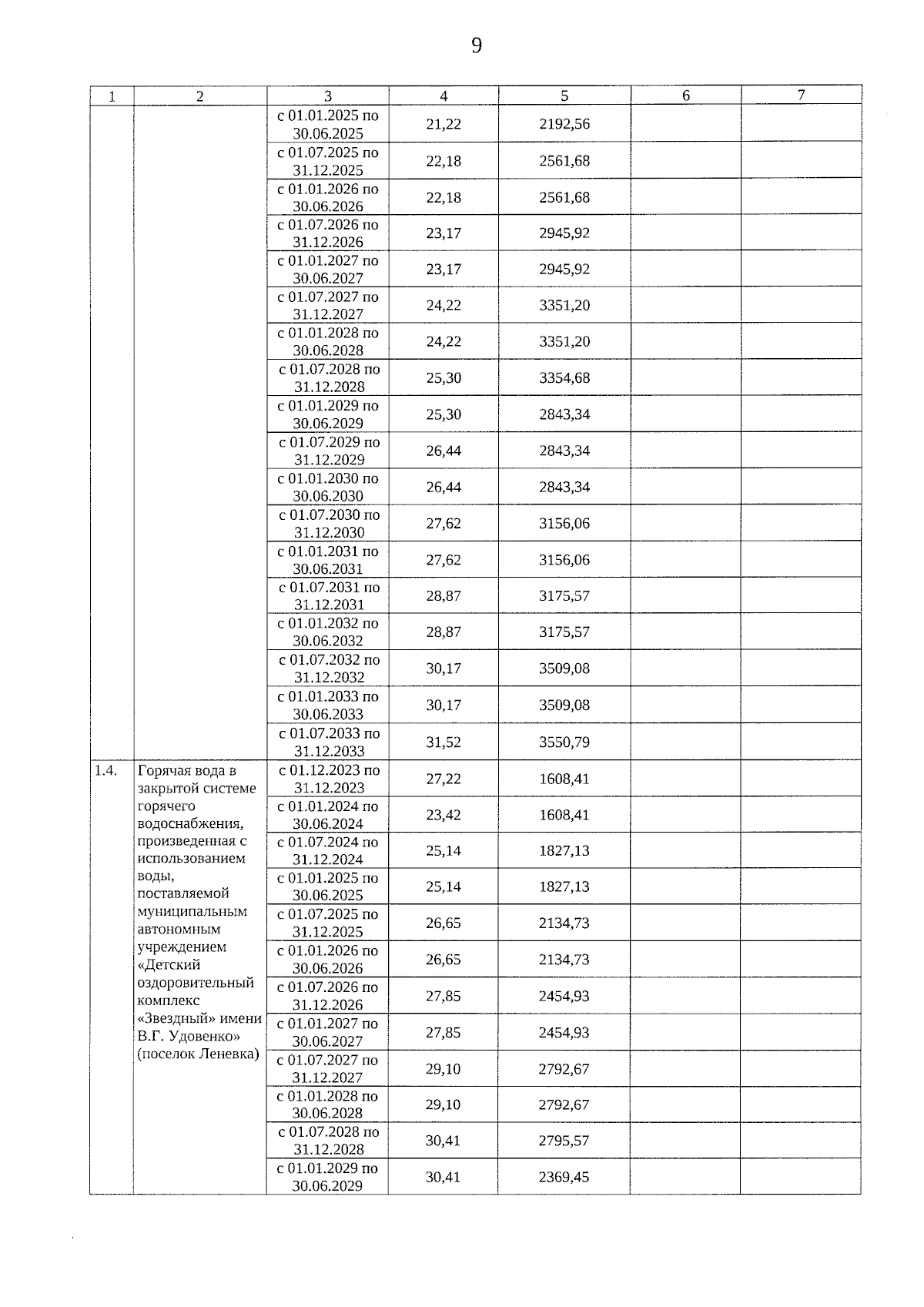
"Об установлении тарифов на горячую воду в закрытых системах горячего водоснабжения, поставляемую акционерным обществом "Регионгаз-инвест" (город Екатеринбург) потребителям города Нижний Тагил, с использованием метода индексации на основе долгосрочных параметров регулирования тарифов на 2023–2033 годы"
(Зарегистрирован 29.01.2026 № 4159)
Номер опубликования: 6601202602030038
Дата опубликования: 03.02.2026
Страница №9 из 10:
Увеличить