Официальное опубликование правовых актов
ОФИЦИАЛЬНОЕ ОПУБЛИКОВАНИЕ
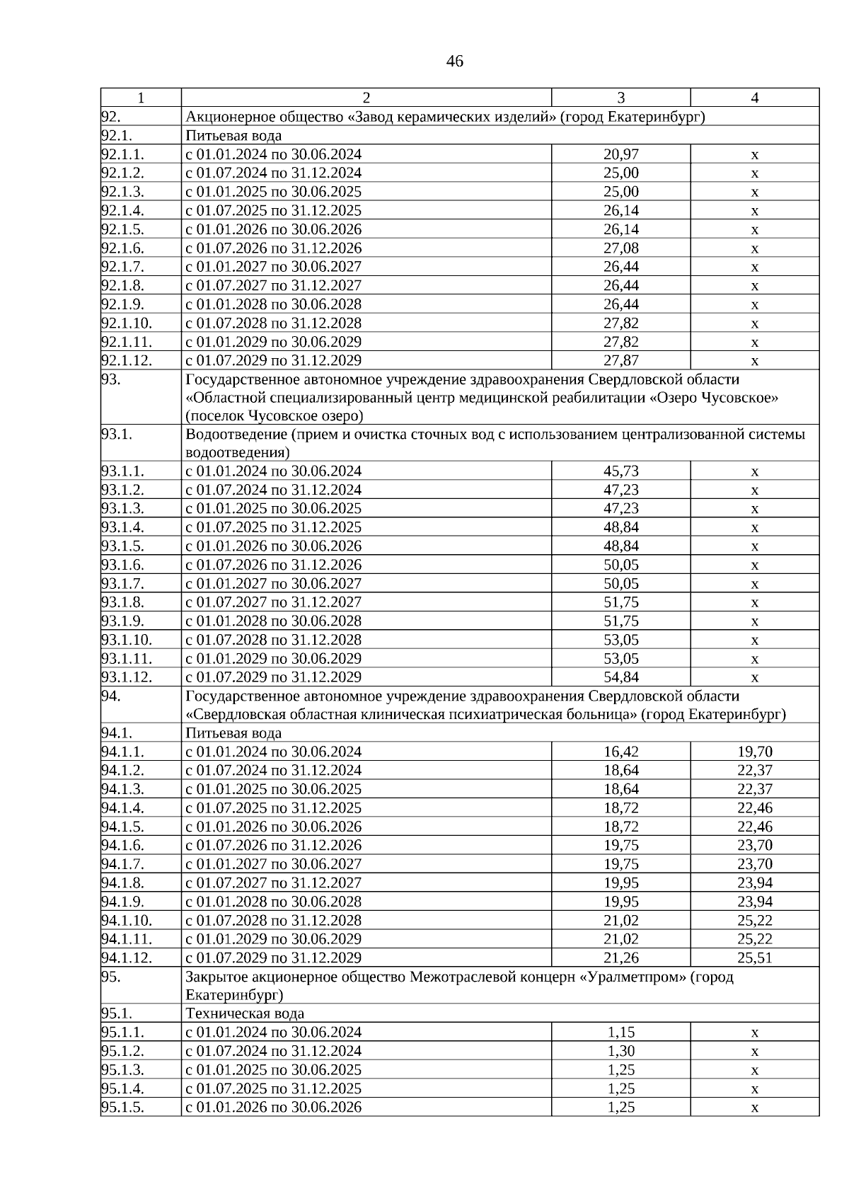
Постановление Региональной энергетической комиссии Свердловской области от 06.12.2023 № 216-ПК
"Об установлении тарифов в сфере холодного водоснабжения и (или) водоотведения организациям водопроводно-канализационного хозяйства Свердловской области с использованием метода индексации на основе долгосрочных параметров регулирования"
(Зарегистрирован 29.01.2026 № 4197)
Номер опубликования: 6601202602040014
Дата опубликования: 04.02.2026
Страница №46 из 76:
Увеличить