Официальное опубликование правовых актов
ОФИЦИАЛЬНОЕ ОПУБЛИКОВАНИЕ
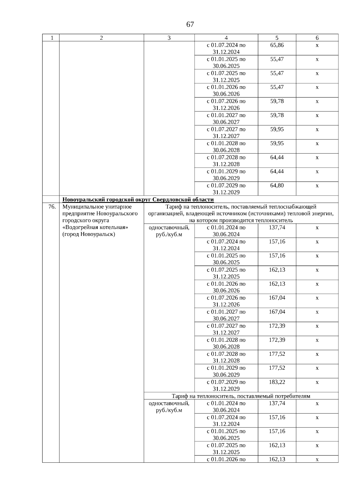
Постановление Региональной энергетической комиссии Свердловской области от 06.12.2023 № 218-ПК
"Об установлении тарифов на теплоноситель, поставляемый теплоснабжающими организациями Свердловской области, с использованием метода индексации установленных тарифов на основе долгосрочных параметров регулирования"
(Зарегистрирован 29.01.2026 № 4199)
Номер опубликования: 6601202602040015
Дата опубликования: 04.02.2026
Страница №67 из 83:
Увеличить