Официальное опубликование правовых актов
ОФИЦИАЛЬНОЕ ОПУБЛИКОВАНИЕ
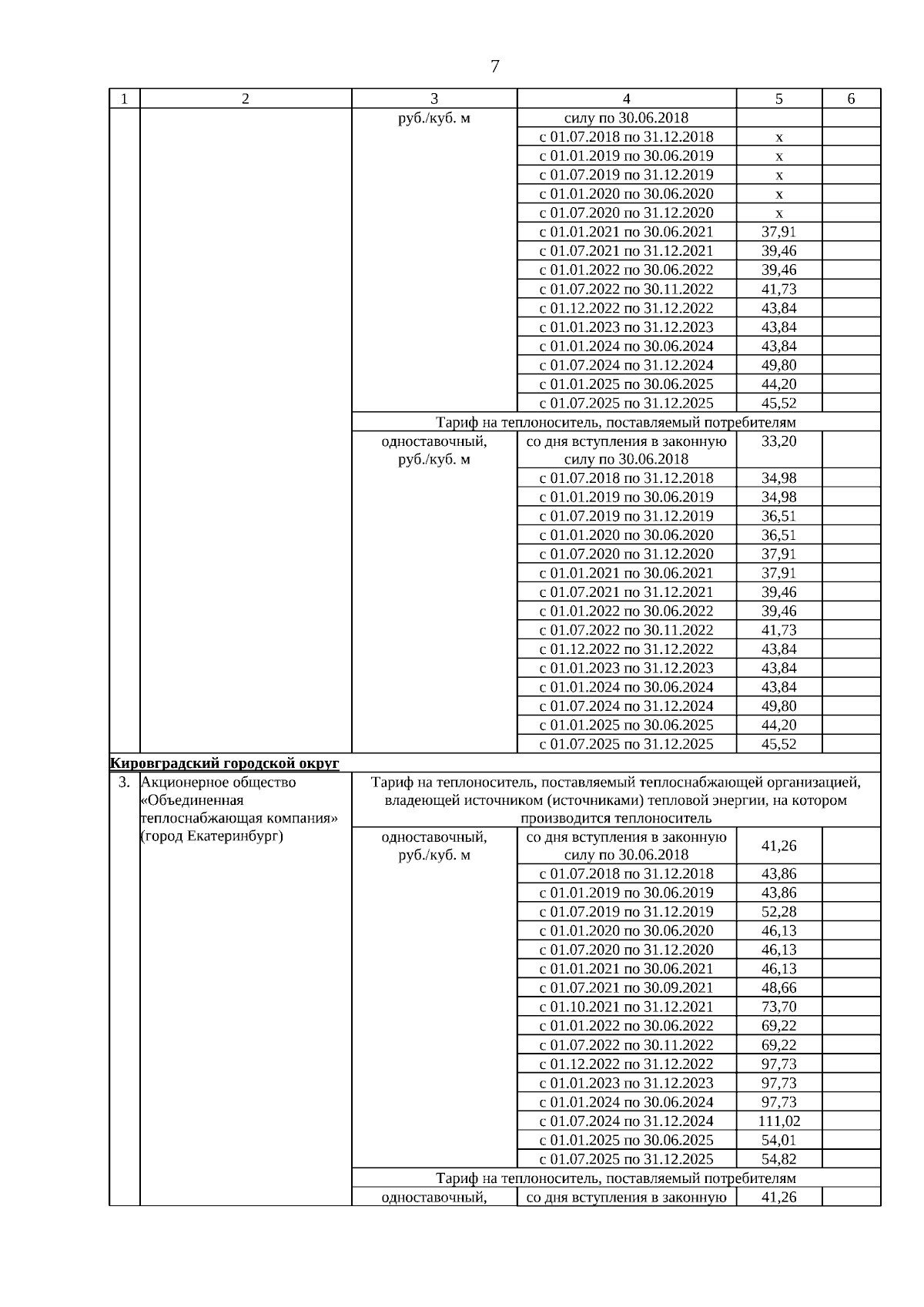
Постановление Региональной энергетической комиссии Свердловской области от 06.12.2023 № 219-ПК
"О внесении изменений в отдельные постановления Региональной энергетической комиссии Свердловской области об установлении тарифов на теплоноситель"
(Зарегистрирован 29.01.2026 № 4200)
Номер опубликования: 6601202602040016
Дата опубликования: 04.02.2026
Страница №7 из 59:
Увеличить