Официальное опубликование правовых актов
ОФИЦИАЛЬНОЕ ОПУБЛИКОВАНИЕ
Постановление Региональной энергетической комиссии Свердловской области от 06.12.2023 № 215-ПК
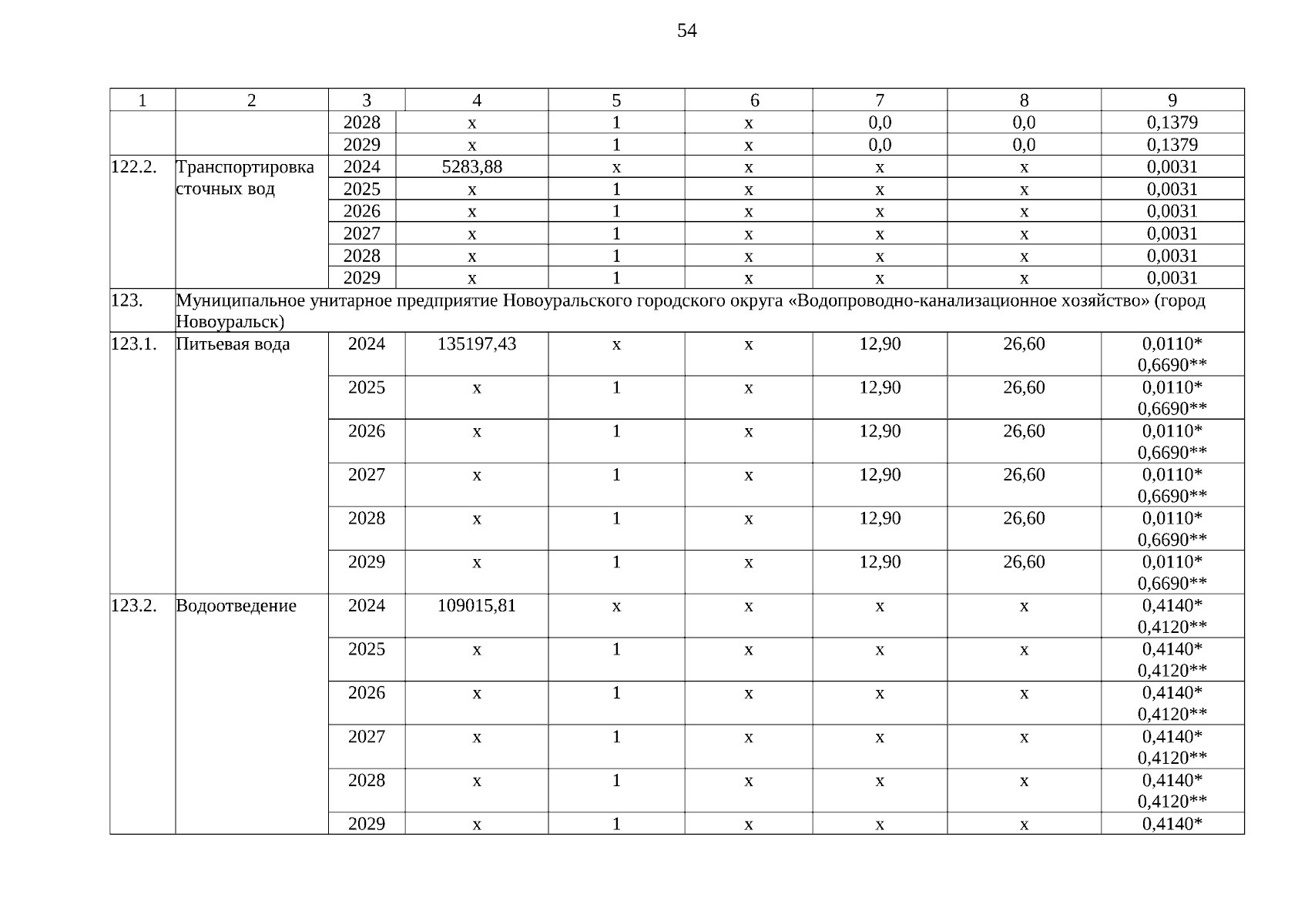
"Об установлении организациям водопроводно-канализационного хозяйства Свердловской области долгосрочных параметров регулирования, устанавливаемых на долгосрочный период регулирования для формирования тарифов в сфере холодного водоснабжения и (или) водоотведения с использованием метода индексации"
(Зарегистрирован 29.01.2026 № 4196)
Номер опубликования: 6601202602040020
Дата опубликования: 04.02.2026
Страница №54 из 69:
Увеличить