Официальное опубликование правовых актов
ОФИЦИАЛЬНОЕ ОПУБЛИКОВАНИЕ
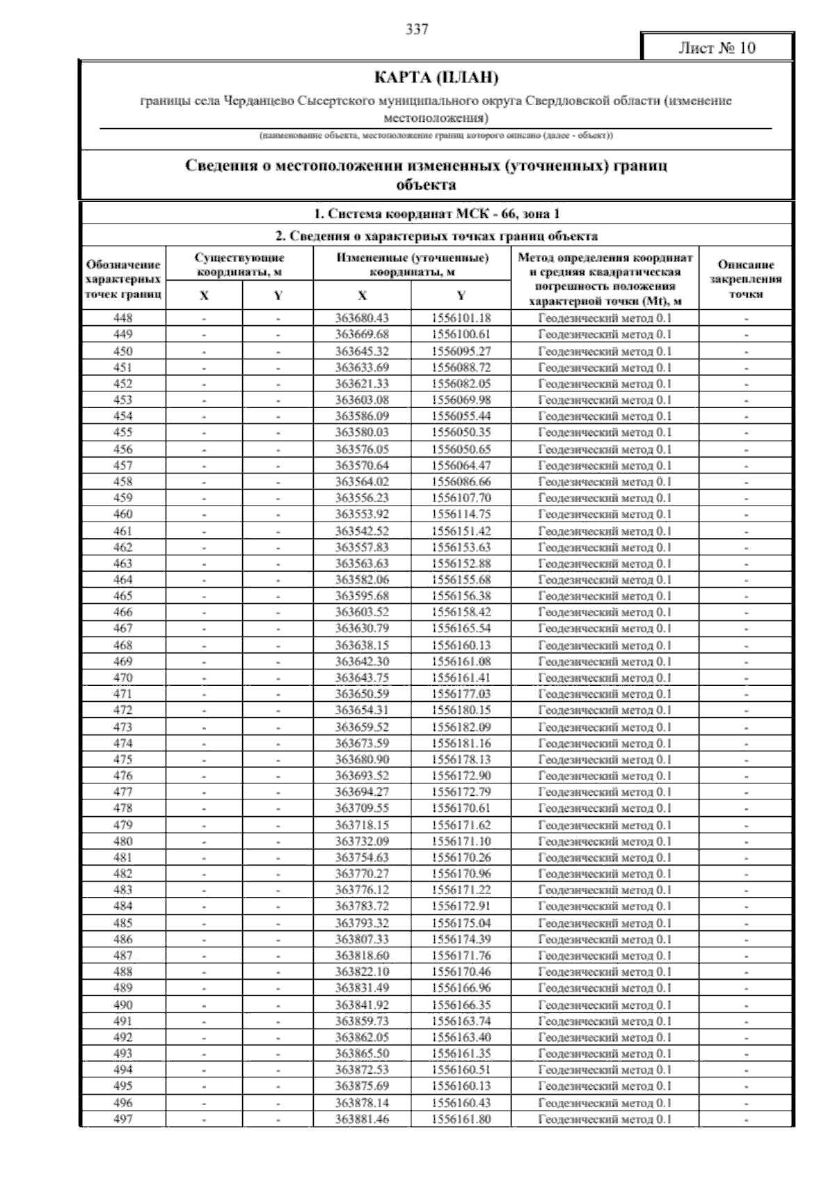
Приказ Министерства строительства и развития инфраструктуры Свердловской области от 26.02.2026 № 96-П
"О внесении изменений в Генеральный план Сысертского городского округа, утвержденный приказом Министерства строительства и развития инфраструктуры Свердловской области от 29.05.2024 № 251-П"
(Зарегистрирован 02.03.2026 № 4328)
Номер опубликования: 6601202603030005
Дата опубликования: 03.03.2026
Страница №1090 из 1115:
Увеличить