Официальное опубликование правовых актов
ОФИЦИАЛЬНОЕ ОПУБЛИКОВАНИЕ
Приказ Управления государственной охраны объектов культурного наследия Свердловской области от 20.03.2026 № 169
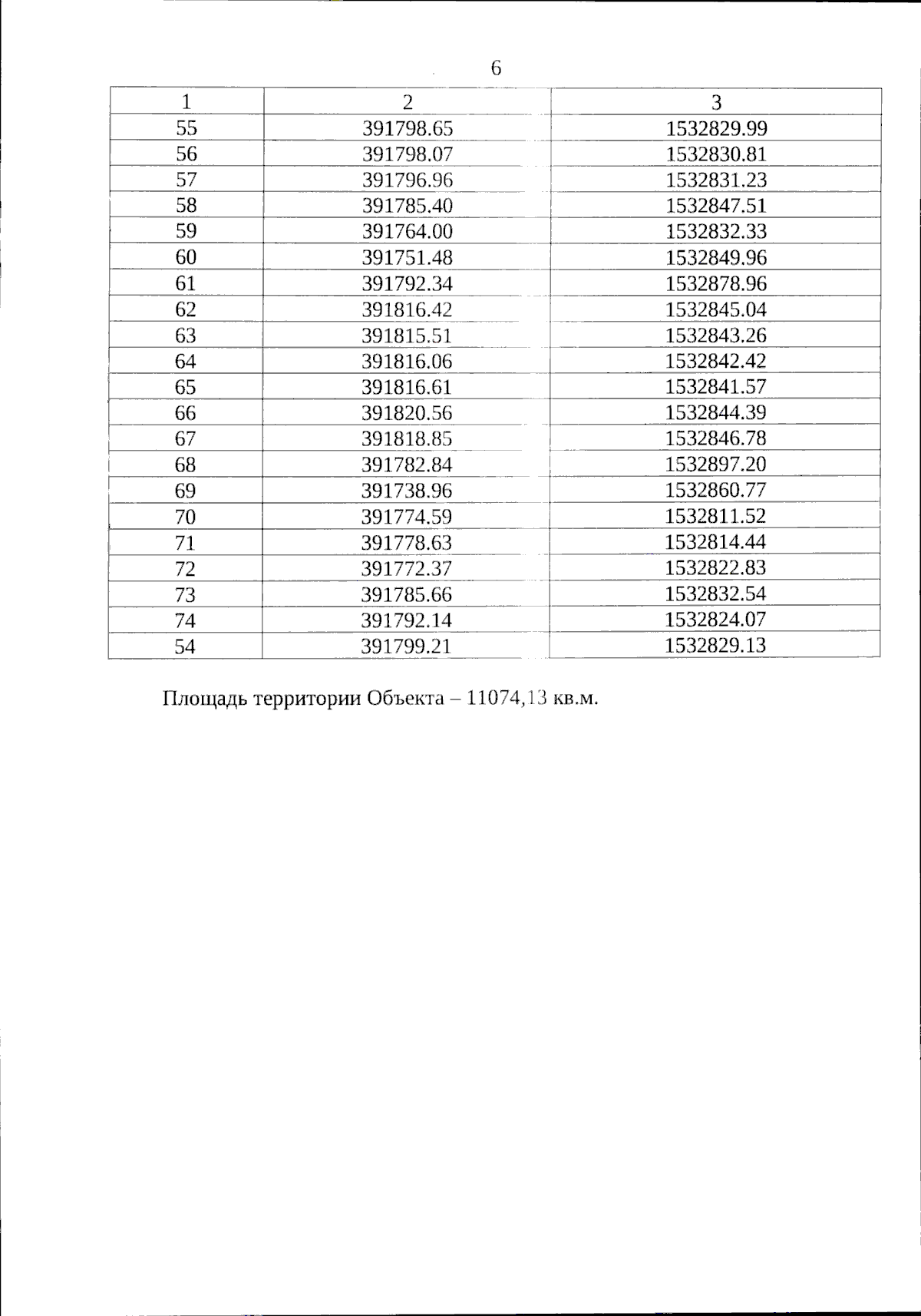
"О внесении изменений в границы территории выявленного объекта археологического наследия "Культурный слой города Екатеринбурга XVIII – начала XX вв. в границах кварталов ул. Ельцина – Челюскинцев – Октябрьской революции – Боевых дружин", расположенного по адресу (местонахождение): Свердловская область, г. Екатеринбург, утвержденные приказом Управления государственной охраны объектов культурного наследия Свердловской области от 08.08.2022 № 528"
(Зарегистрирован 20.03.2026 № 4388)
Номер опубликования: 6601202603240002
Дата опубликования: 24.03.2026
Страница №6 из 6:
Увеличить