Официальное опубликование правовых актов
ОФИЦИАЛЬНОЕ ОПУБЛИКОВАНИЕ
Приказ Министерства по управлению государственным имуществом Свердловской области от 26.03.2026 № 2039
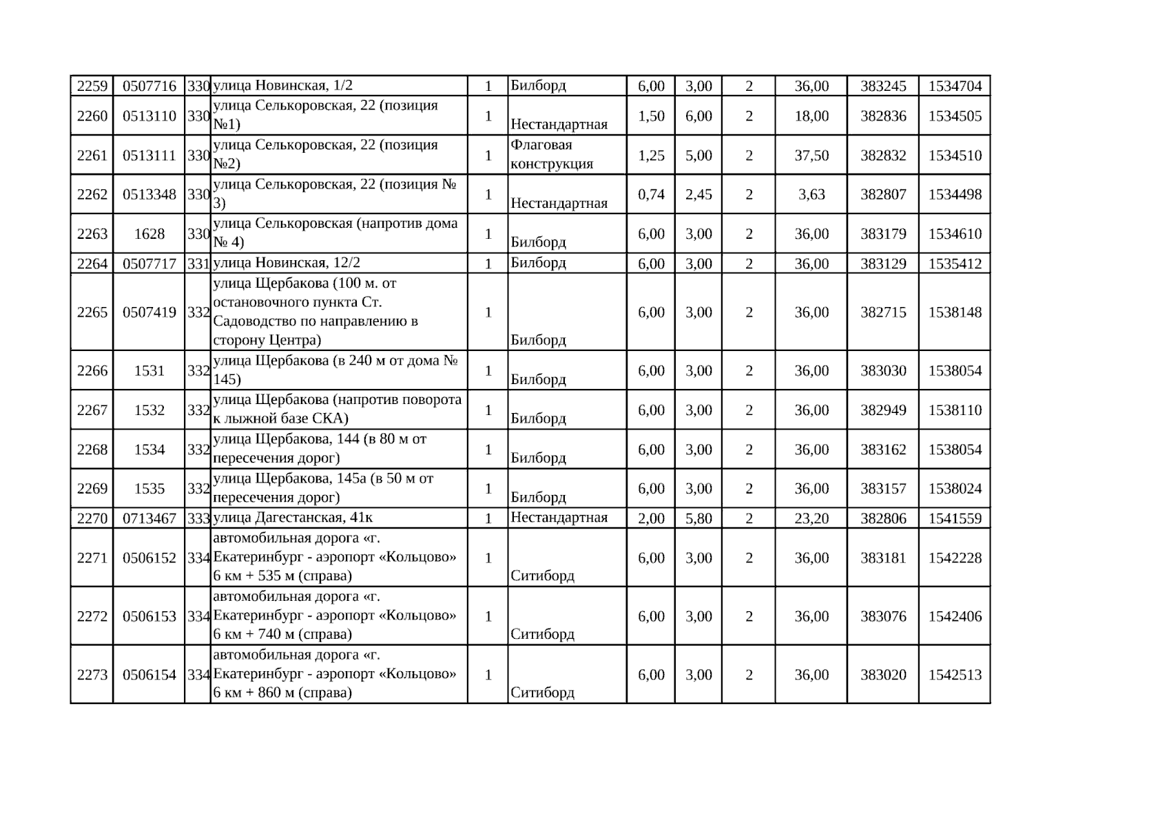
"О внесении изменений в схему размещения рекламных конструкций на территории муниципального образования "город Екатеринбург", утвержденную приказом Министерства по управлению государственным имуществом Свердловской области от 29.07.2016 № 1684"
(Зарегистрирован 31.03.2026 № 4428)
Номер опубликования: 6601202603310001
Дата опубликования: 31.03.2026
Страница №533 из 549:
Увеличить