Официальное опубликование правовых актов
ОФИЦИАЛЬНОЕ ОПУБЛИКОВАНИЕ
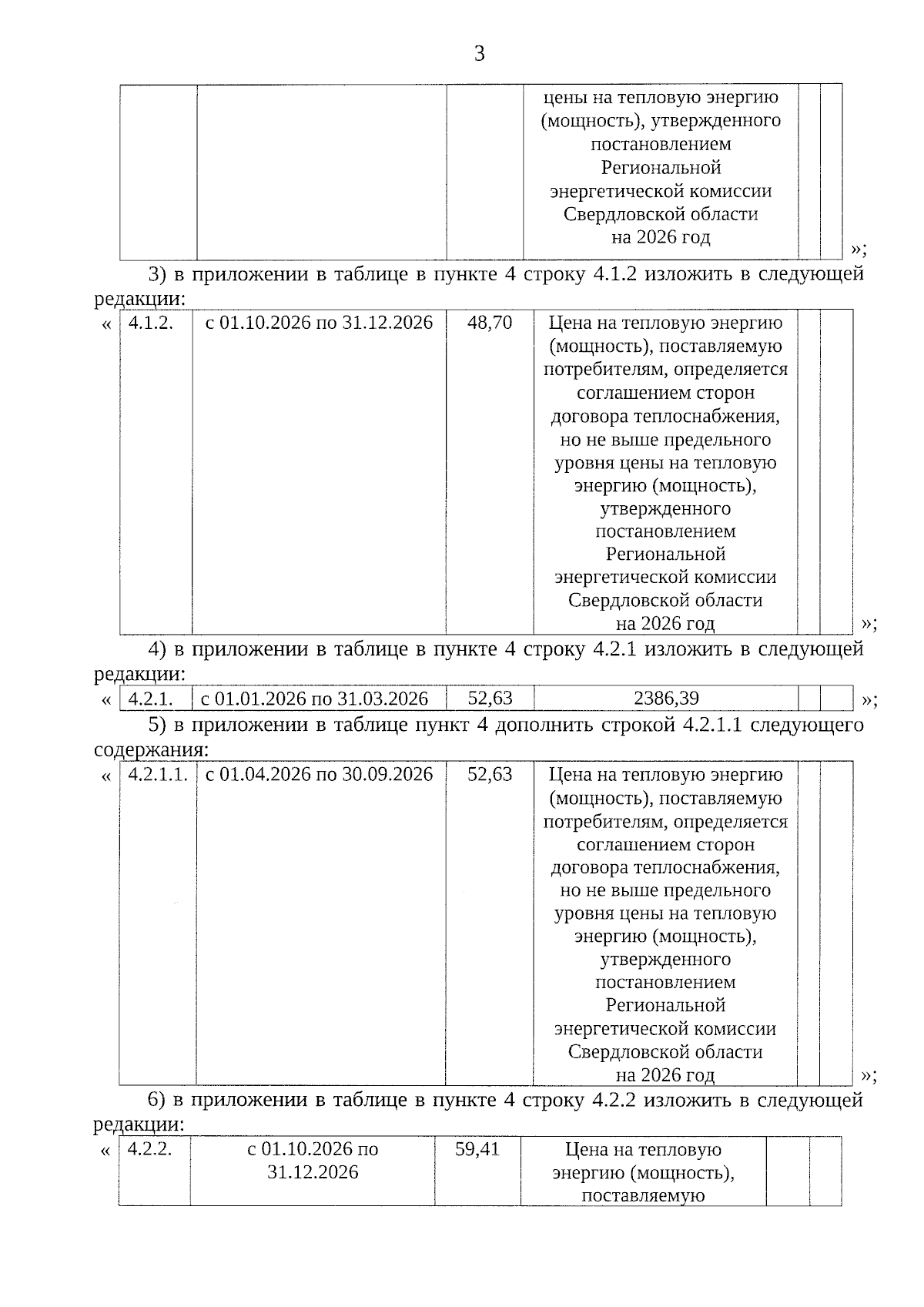
Постановление Региональной энергетической комиссии Свердловской области от 26.03.2026 № 30-ПК
"О внесении изменений в отдельные постановления Региональной энергетической комиссии Свердловской области"
(Зарегистрирован 31.03.2026 № 4435)
Номер опубликования: 6601202603310015
Дата опубликования: 31.03.2026
Страница №3 из 4:
Увеличить