Официальное опубликование правовых актов
ОФИЦИАЛЬНОЕ ОПУБЛИКОВАНИЕ
Приказ Управления государственной охраны объектов культурного наследия Свердловской области от 16.04.2026 № 219
"О внесении изменений в приказ Управления государственной охраны объектов культурного наследия Свердловской области от 22.03.2018 № 82 "Об утверждении границ территории выявленного объекта археологического наследия "Культурный слой с. Арамильского XVII – начала XX вв. в центральной части г. Арамиль", расположенного в г. Арамиль, у автомобильного моста через р. Арамилку, на левом и правом берегах р. Арамилки"
(Зарегистрирован 16.04.2026 № 4500)
Номер опубликования: 6601202604160002
Дата опубликования: 16.04.2026
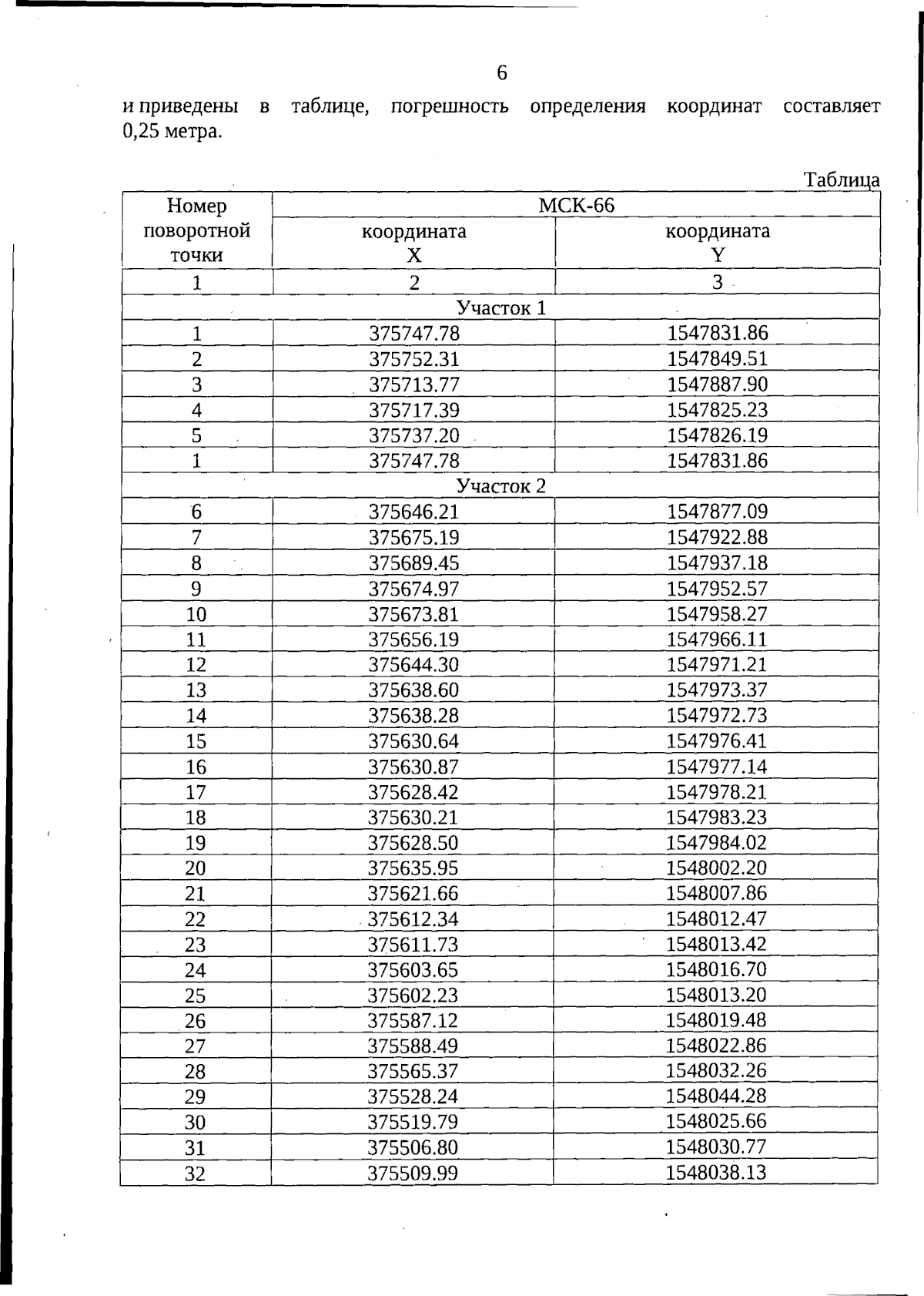
Страница №6 из 8:
Увеличить