Официальное опубликование правовых актов
ОФИЦИАЛЬНОЕ ОПУБЛИКОВАНИЕ
Приказ Управления государственной охраны объектов культурного наследия Свердловской области от 15.04.2026 № 215
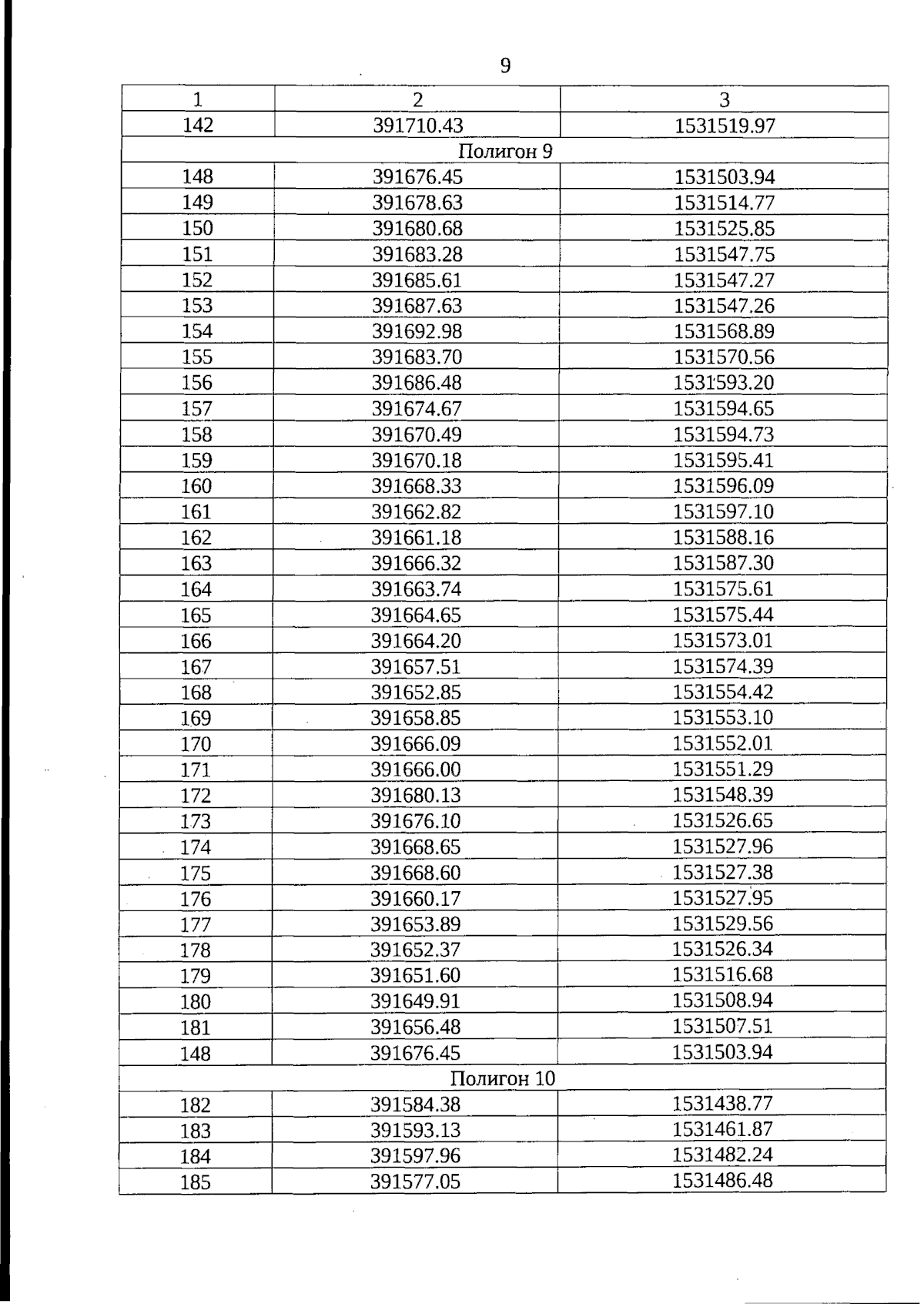
"О внесении изменений в приказ Управления государственной охраны объектов культурного наследия Свердловской области от 26.09.2025 № 474 "О включении выявленного объекта культурного наследия "Культурный слой г. Екатеринбурга XVIII–начала XX вв. в границах микрорайона Старый ВИЗ", расположенного по адресу (местонахождение): Свердловская область, г. Екатеринбург (объект археологического наследия), в перечень выявленных объектов культурного наследия Свердловской области, утверждении его границ территории и установлении режима использования данной территории"
(Зарегистрирован 16.04.2026 № 4497)
Номер опубликования: 6601202604160005
Дата опубликования: 16.04.2026
Страница №9 из 10:
Увеличить