Официальное опубликование правовых актов
ОФИЦИАЛЬНОЕ ОПУБЛИКОВАНИЕ
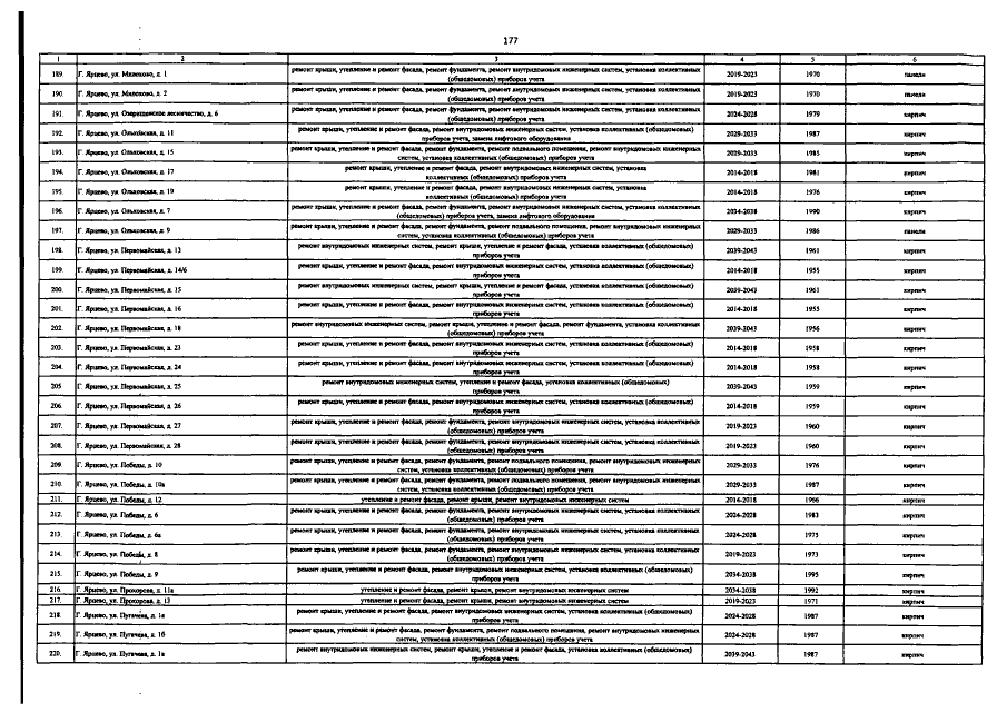
Постановление Администрации Смоленской области от 18.08.2015 № 520
"О внесении изменения в Региональную программу капитального ремонта общего имущества в многоквартирных домах, расположенных на территории Смоленской области, на 2014-2043 годы"
Номер опубликования: 6700201508250002
Дата опубликования: 25.08.2015
Страница №177 из 182:
Увеличить