Официальное опубликование правовых актов
ОФИЦИАЛЬНОЕ ОПУБЛИКОВАНИЕ
Постановление Администрации Смоленской области от 27.08.2015 № 540
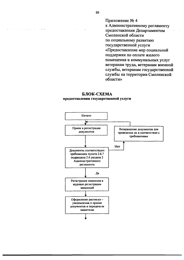
"Об утверждении Административного регламента предоставления Департаментом Смоленской области по социальному развитию государственной услуги "Предоставление мер социальной поддержки по оплате жилого помещения и коммунальных услуг ветеранам труда, ветеранам военной службы, ветеранам государственной службы на территории Смоленской области"
Номер опубликования: 6700201508280001
Дата опубликования: 28.08.2015
Страница №59 из 61:
Увеличить