Официальное опубликование правовых актов
ОФИЦИАЛЬНОЕ ОПУБЛИКОВАНИЕ
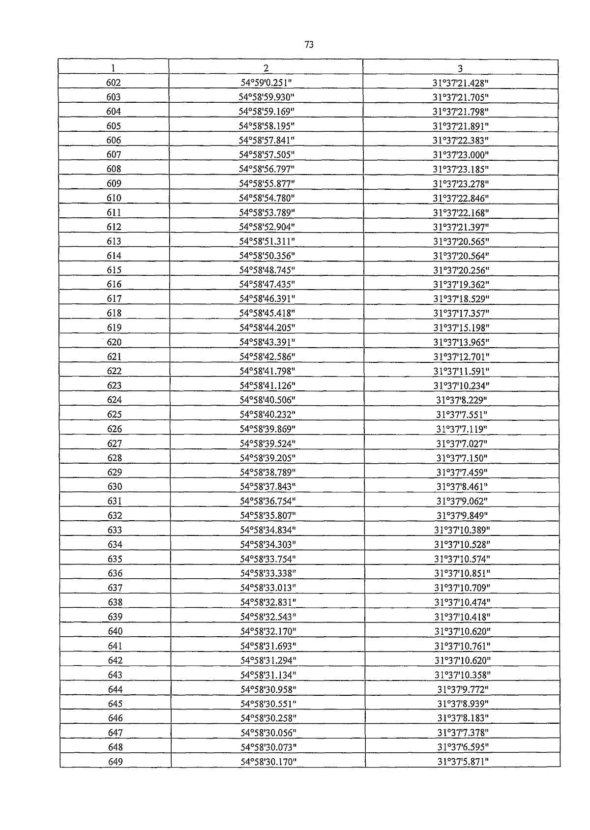
Указ Губернатора Смоленской области от 29.05.2024 № 50
"О создании охранной зоны памятника природы регионального значения "Озеро Каспля" и установлении ее границ"
Номер опубликования: 6700202405300035
Дата опубликования: 30.05.2024
Страница №73 из 89:
Увеличить