Официальное опубликование правовых актов
ОФИЦИАЛЬНОЕ ОПУБЛИКОВАНИЕ
Постановление Правительства Смоленской области от 25.07.2024 № 568
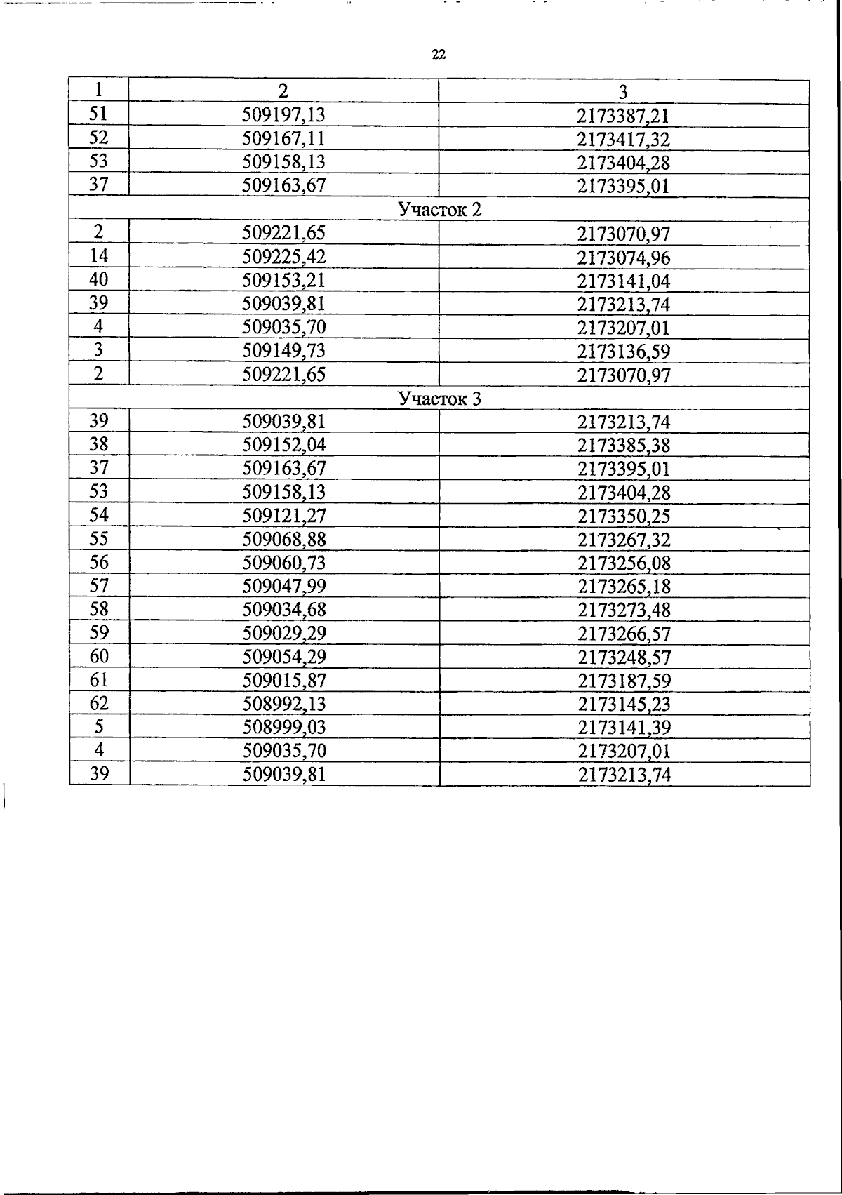
"Об установлении единой охранной зоны, единой зоны регулирования застройки и хозяйственной деятельности объекта культурного наследия (памятника истории и культуры) народов Российской Федерации регионального значения "Дом жилой", XVIII в., расположенного по адресу: Смоленская область, Вяземский район, г. Вязьма, ул. Ленских Событий, 15, объекта культурного наследия (памятника истории и культуры) народов Российской Федерации регионального значения "Дом жилой", вт. пол. 19 в., расположенного по адресу: Смоленская область, Вяземский район, г. Вязьма, ул. Ленских Событий, д. 23, объекта культурного наследия (памятника истории и культуры) народов Российской Федерации регионального значения "Дом жилой", нач. XX в., расположенного по адресу: Смоленская область, Вяземский район, г. Вязьма, ул. Комсомольская, д. 29, объекта культурного наследия (памятника истории и культуры) народов Российской Федерации регионального значения "Дом жилой", кон. XVIII в., расположенного по адресу: Смоленская область, Вяземский район, г. Вязьма, ул. Герцена, д. 15, объекта культурного наследия (памятника истории и культуры) народов Российской Федерации регионального значения "Дом жилой", 2–я пол. XIX в., расположенного по адресу: Смоленская область, Вяземский район, город Вязьма, ул. 3-го Интернационала, д. 30 и утверждении требований к градостроительным регламентам в границах территорий данных зон"
Номер опубликования: 6700202407260023
Дата опубликования: 26.07.2024
Страница №22 из 30:
Увеличить