Официальное опубликование правовых актов
ОФИЦИАЛЬНОЕ ОПУБЛИКОВАНИЕ
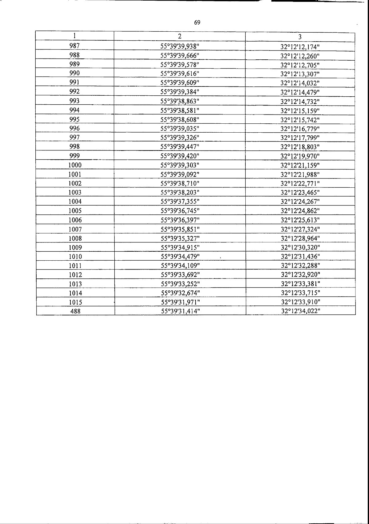
Указ Губернатора Смоленской области от 04.12.2024 № 110
"О создании охранной зоны памятника природы регионального значения "Озеро Велисто" и установлении ее границ"
Номер опубликования: 6700202412060006
Дата опубликования: 06.12.2024
Страница №69 из 73:
Увеличить