Официальное опубликование правовых актов
ОФИЦИАЛЬНОЕ ОПУБЛИКОВАНИЕ
Постановление Правительства Смоленской области от 02.06.2025 № 324
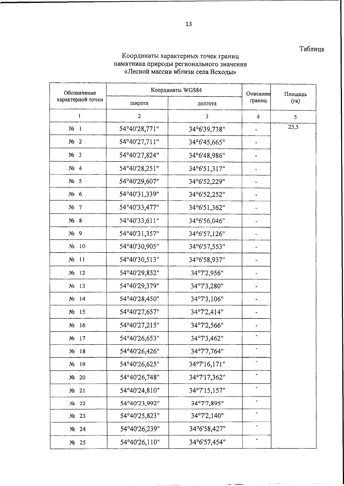
"Об утверждении границ памятника природы регионального значения "Лесной массив вблизи села Всходы", Положения о памятнике природы регионального значения "Лесной массив вблизи села Всходы" и паспорта памятника природы регионального значения "Лесной массив вблизи села Всходы"
Номер опубликования: 6700202506030002
Дата опубликования: 03.06.2025
Страница №13 из 15:
Увеличить