Официальное опубликование правовых актов
ОФИЦИАЛЬНОЕ ОПУБЛИКОВАНИЕ
Постановление Правительства Смоленской области от 16.12.2025 № 766
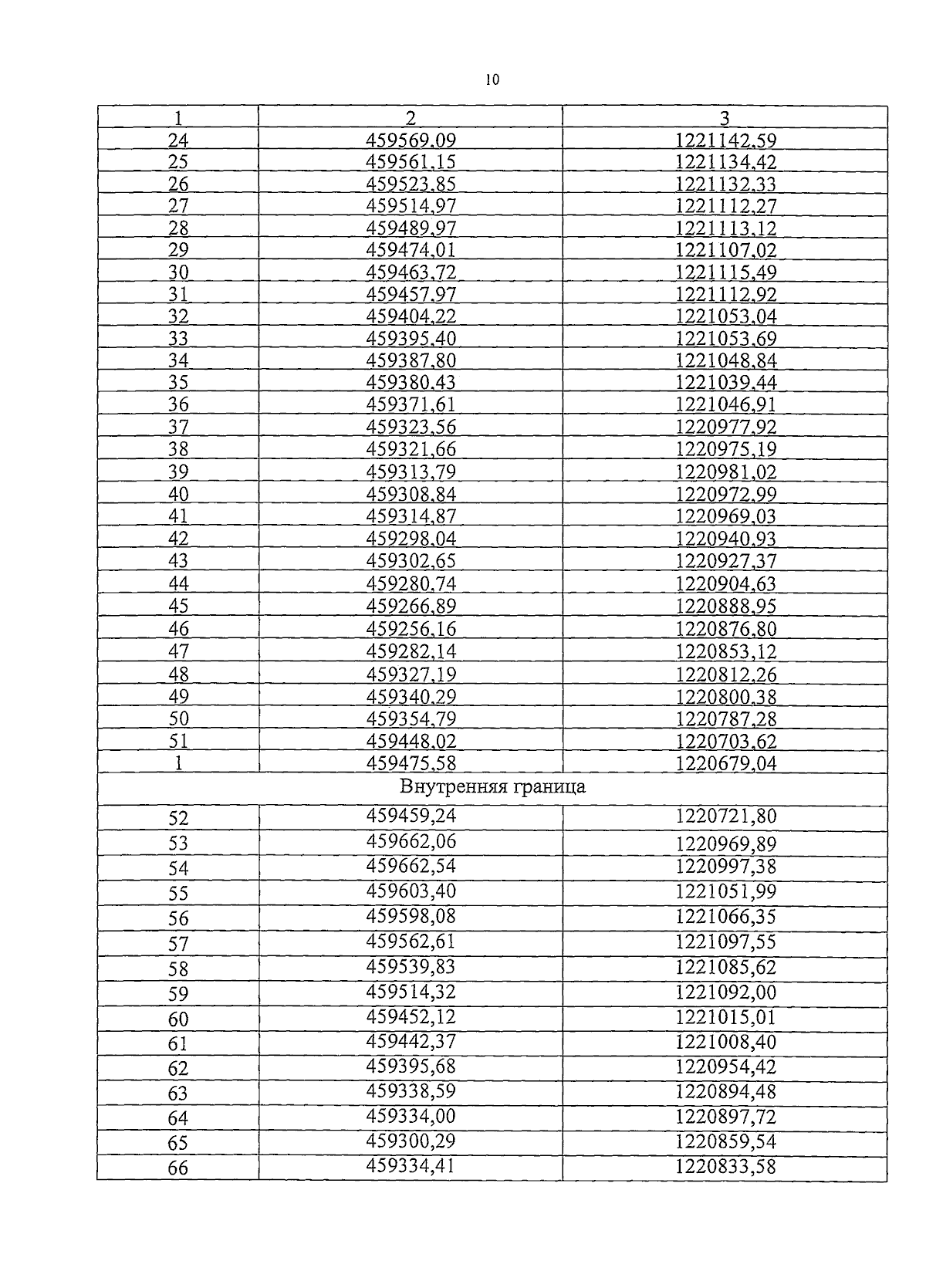
"Об установлении зон охраны объекта культурного наследия (памятника истории и культуры) народов Российской Федерации регионального значения "Комплекс казарм Нарвского полка", начало ХХ в., расположенного по адресу (местонахождение): Смоленская область, город Смоленск, Городок Коминтерна, и утверждении требований к градостроительным регламентам в границах территорий данных зон"
Номер опубликования: 6700202512180010
Дата опубликования: 18.12.2025
Страница №10 из 14:
Увеличить