Официальное опубликование правовых актов
ОФИЦИАЛЬНОЕ ОПУБЛИКОВАНИЕ
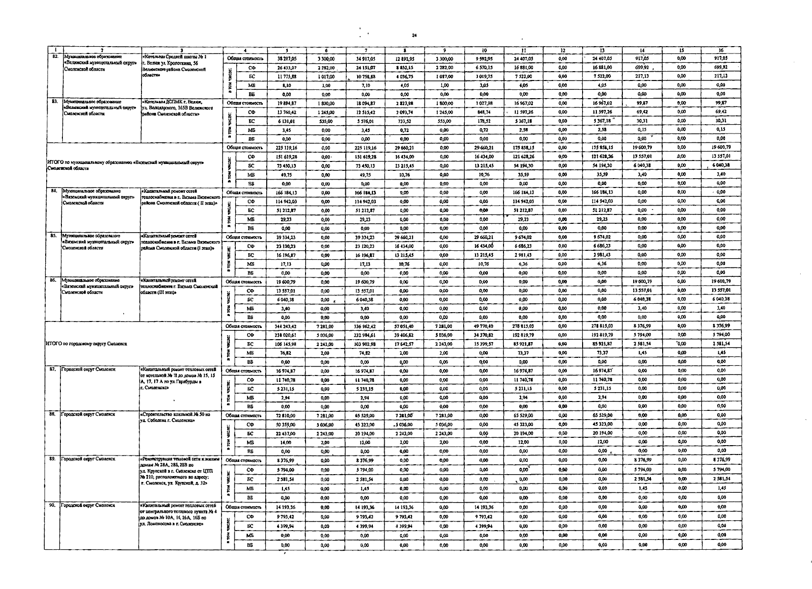
Постановление Правительства Смоленской области от 17.12.2025 № 778
"О внесении изменений в региональную программу "Модернизация систем коммунальной инфраструктуры Смоленской области" на 2023 – 2027 годы"
Номер опубликования: 6700202512220006
Дата опубликования: 22.12.2025
Страница №24 из 48:
Увеличить