Официальное опубликование правовых актов
ОФИЦИАЛЬНОЕ ОПУБЛИКОВАНИЕ
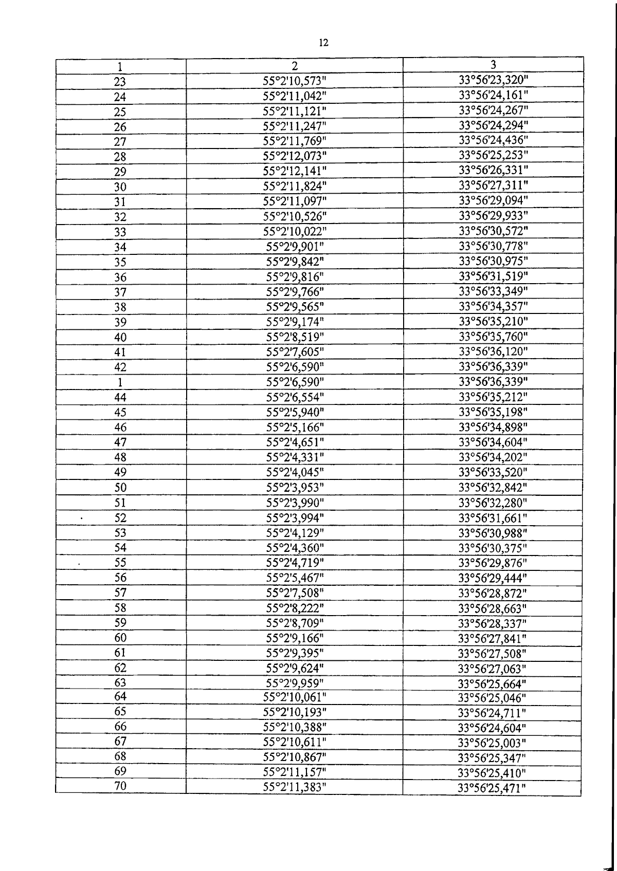
Указ Губернатора Смоленской области от 19.12.2025 № 146
"О создании охранной зоны памятника природы регионального значения "Озеро Семлевское (Стоячее)" и установлении ее границ"
Номер опубликования: 6700202512240004
Дата опубликования: 24.12.2025
Страница №12 из 16:
Увеличить