Официальное опубликование правовых актов
ОФИЦИАЛЬНОЕ ОПУБЛИКОВАНИЕ
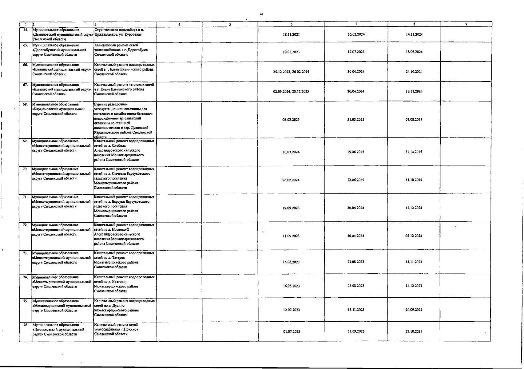
Постановление Правительства Смоленской области от 26.12.2025 № 852
"О внесении изменений в региональную программу "Модернизация систем коммунальной инфраструктуры Смоленской области" на 2023 – 2027 годы"
Номер опубликования: 6700202512260021
Дата опубликования: 26.12.2025
Страница №44 из 48:
Увеличить