Официальное опубликование правовых актов
ОФИЦИАЛЬНОЕ ОПУБЛИКОВАНИЕ
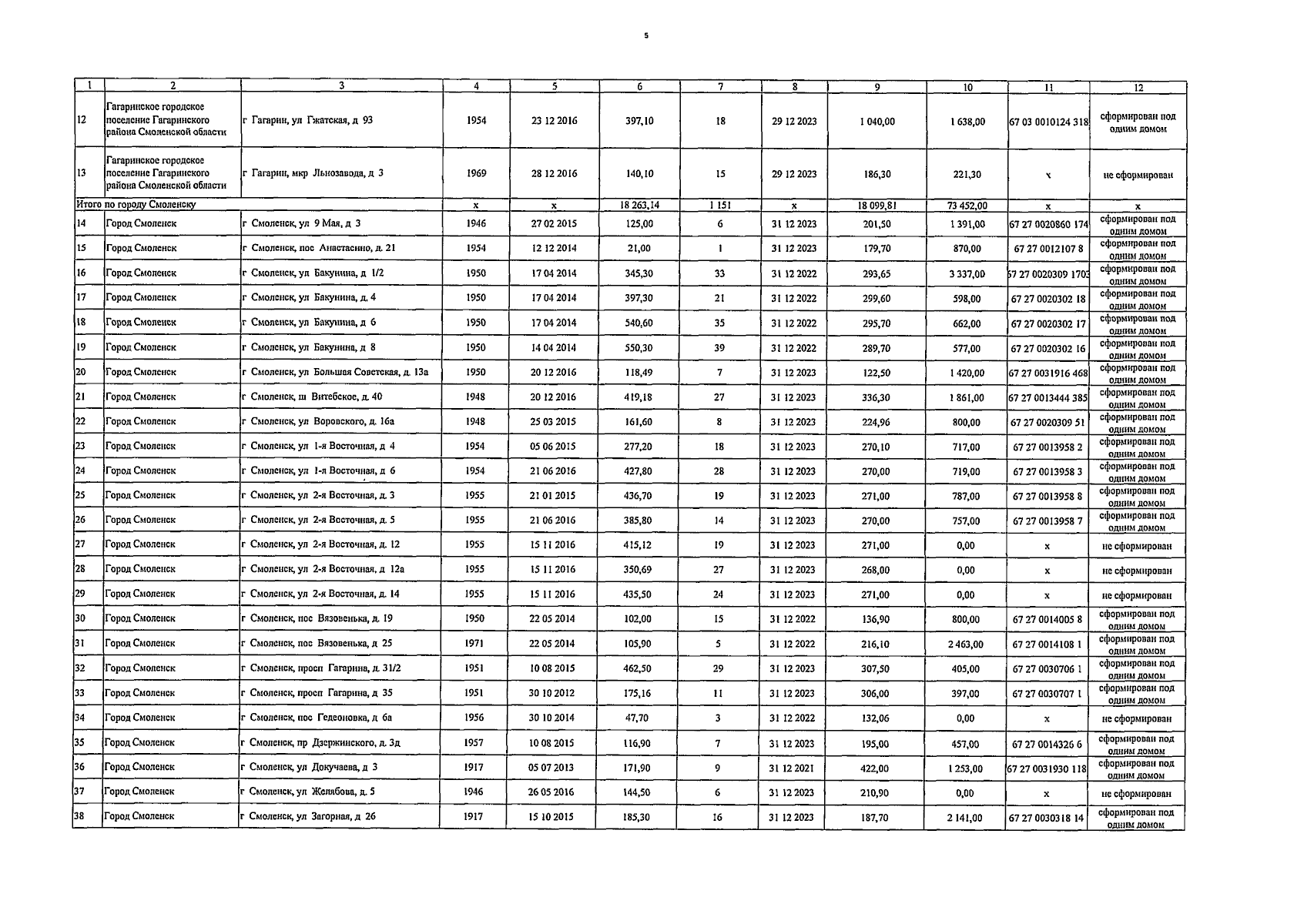
Постановление Правительства Смоленской области от 13.03.2026 № 128
"Об итогах выполнения Региональной адресной программы по переселению граждан из аварийного жилищного фонда на 2019 – 2023 годы"
Номер опубликования: 6700202603160004
Дата опубликования: 16.03.2026
Страница №5 из 13:
Увеличить