Официальное опубликование правовых актов
ОФИЦИАЛЬНОЕ ОПУБЛИКОВАНИЕ
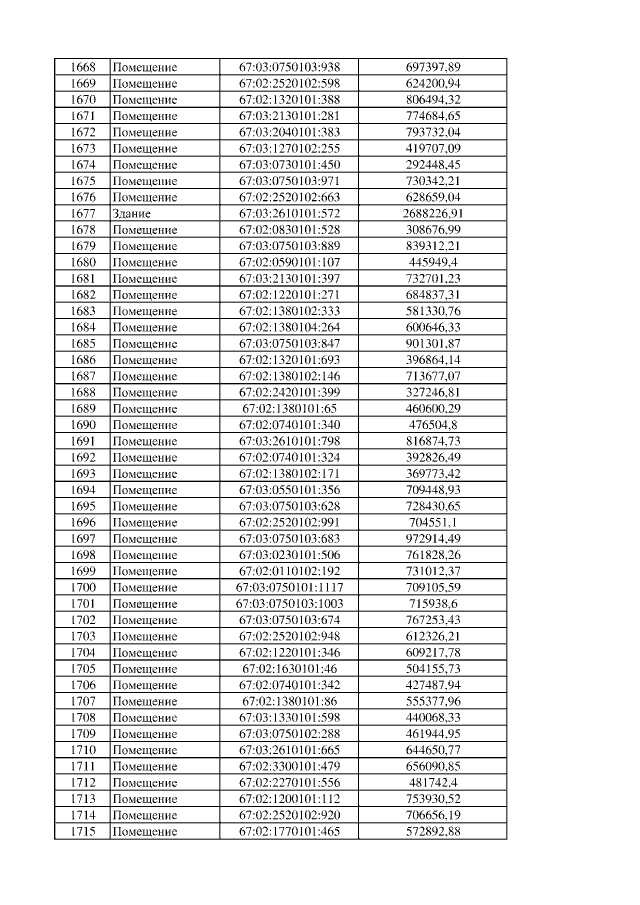
Приказ Департамента имущественных и земельных отношений Смоленской области от 02.11.2018 № 744
"Об утверждении результатов определения кадастровой стоимости объектов недвижимости (кроме земельных участков), расположенных на территории Смоленской области"
Номер опубликования: 6701201811090001
Дата опубликования: 09.11.2018
Страница №38 из 11900:
Увеличить