Официальное опубликование правовых актов
ОФИЦИАЛЬНОЕ ОПУБЛИКОВАНИЕ
Приказ Департамента Смоленской области по природным ресурсам и экологии от 11.11.2021 № 0461/0103
"Об утверждении Территориальной схемы обращения с отходами Смоленской области"
Номер опубликования: 6701202111170001
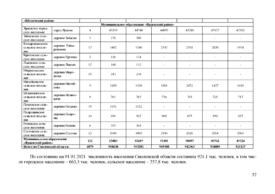
Дата опубликования: 17.11.2021
Страница №33 из 2722:
Увеличить